ГОСТ 6364-78 Подшипники роликовые конические двухрядные. Основные размеры
ГОСТ
Скачать ГОСТ в PDF или DOC бесплатно
Основная информация
Обозначение:
ГОСТ 6364-78
Статус:
Действует
Тип:
ГОСТ
Название русское:
Подшипники роликовые конические двухрядные. Основные размеры
Название английское:
Double row tapered roller bearings. Basic dimensions
Даты и сроки
Дата издания:
06-13-78
Дата введения в действие:
01-01-79
Дата завершения срока действия:
-
Применение и описание
Область и условия применения:
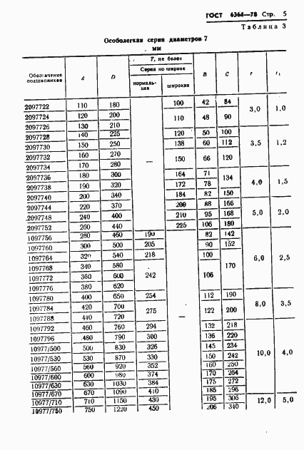
Настоящий стандарт распространяется на роликовые конические двухрядные подшипники с внутренним дистанционным кольцом, предназначенные для восприятия радиальных и осевых нагрузок
Связи и замены
Заменяющий:
-
Взамен:
ГОСТ 6364-68
Изменения и переиздания
Список изменений:
№0 от (рег. ) «Срок действия продлен»
Описание стандарта
ГОСТ 6364-78 Подшипники роликовые конические двухрядные. Основные размеры
Страницы стандарта








