ГОСТ 7634-75 Подшипники радиальные роликовые многорядные с короткими цилиндрическими роликами. Типы и основные размеры
ГОСТ
Скачать ГОСТ в PDF или DOC бесплатно
Основная информация
Обозначение:
ГОСТ 7634-75
Статус:
Действует
Тип:
ГОСТ
Название русское:
Подшипники радиальные роликовые многорядные с короткими цилиндрическими роликами. Типы и основные размеры
Название английское:
Radial multiple row short cilindrical roller bearings. Types and boundary dimensions
Даты и сроки
Дата издания:
10-01-98
Дата введения в действие:
06-30-76
Дата завершения срока действия:
05-01-23
Применение и описание
Область и условия применения:
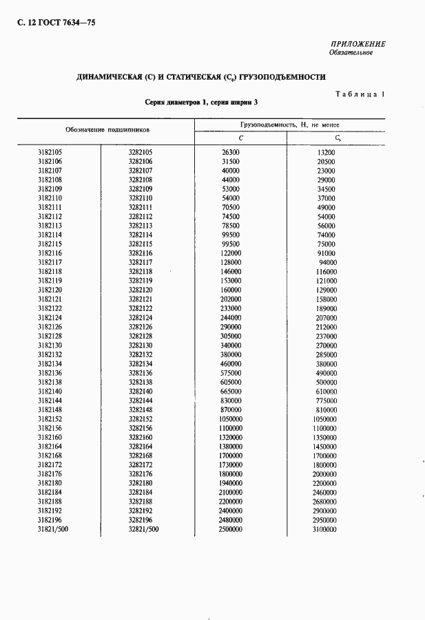
Настоящий стандарт распространяется на роликовые радиальные двухрядные подшипники с короткими цилиндрическими роликами серий диаметров 1 и 9, серий ширин 3 и 4 и на многорядные подшипники серий диаметров 1 и 9, серий ширин 6, предназначенных для восприятия только радиальных нагрузок
Связи и замены
Заменяющий:
-
Взамен:
ГОСТ 7634-56
Изменения и переиздания
Список изменений:
№1 от (рег. ) «Срок действия продлен» №2 от (рег. ) «Поправка»
Описание стандарта
ГОСТ 7634-75 Подшипники радиальные роликовые многорядные с короткими цилиндрическими роликами. Типы и основные размеры
Страницы стандарта














