ГОСТ 7872-89 Подшипники упорные шариковые одинарные и двойные. Технические условия
ГОСТ
Скачать ГОСТ в PDF или DOC бесплатно
Основная информация
Обозначение:
ГОСТ 7872-89
Статус:
Действует
Тип:
ГОСТ
Название русское:
Подшипники упорные шариковые одинарные и двойные. Технические условия
Название английское:
Single and double direction thrust ball bearings. Specification
Даты и сроки
Дата издания:
12-29-89
Дата введения в действие:
06-30-90
Дата завершения срока действия:
-
Применение и описание
Область и условия применения:
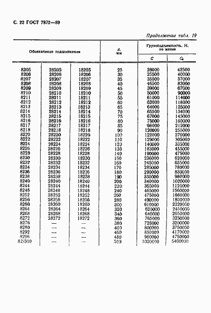
Настоящий стандарт распространяется на одинарные и двойные шариковые упорные подшипники, а также на одинарные шариковые упорные подшипники со свободным самоустанавливающимся кольцом и подкладным кольцом или без него, предназначенные для восприятия осевых нагрузок
Связи и замены
Заменяющий:
-
Взамен:
ГОСТ 6874-75;ГОСТ 7872-75
Заменяющий в части:
ГОСТ 7872-2025 кроме части по оборонной продукции на территории РФ при выполнении работ по Государственному оборонному заказу
Описание стандарта
ГОСТ 7872-89 Подшипники упорные шариковые одинарные и двойные. Технические условия
Страницы стандарта


























