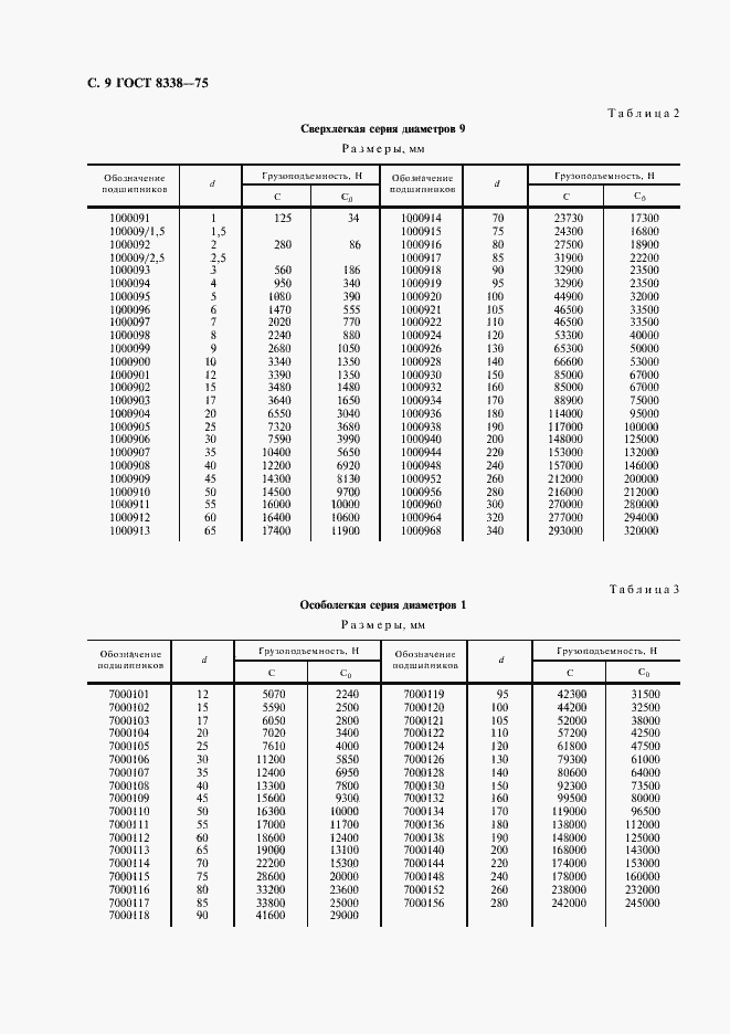
ГОСТ 8338-75 Подшипники шариковые радиальные однорядные. Основные размеры
ГОСТ
Скачать ГОСТ в PDF или DOC бесплатно
Основная информация
Обозначение:
ГОСТ 8338-75
Статус:
Действует
Тип:
ГОСТ
Название русское:
Подшипники шариковые радиальные однорядные. Основные размеры
Название английское:
Single row radial ball bearings. Boundary dimensions
Даты и сроки
Дата издания:
09-01-03
Дата введения в действие:
06-30-76
Дата завершения срока действия:
04-01-23
Применение и описание
Область и условия применения:
Настоящий стандарт распространяется на шариковые радиальные однорядные подшипники
Связи и замены
Заменяющий:
-
Взамен:
ГОСТ 8338-57
Изменения и переиздания
Список изменений:
№1 от (рег. ) «Срок действия продлен»
Описание стандарта
ГОСТ 8338-75 Подшипники шариковые радиальные однорядные. Основные размеры
Страницы стандарта











