ГОСТ 8995-75 Подшипники шариковые радиально-упорные однорядные с одним разъемным кольцом. Типы и основные размеры
ГОСТ
Скачать ГОСТ в PDF или DOC бесплатно
Основная информация
Обозначение:
ГОСТ 8995-75
Статус:
Действует
Тип:
ГОСТ
Название русское:
Подшипники шариковые радиально-упорные однорядные с одним разъемным кольцом. Типы и основные размеры
Название английское:
Single row angular contact ball bearings with one split inner ring. Types and boundary dimensions
Даты и сроки
Дата издания:
08-01-84
Дата введения в действие:
06-30-76
Дата завершения срока действия:
-
Применение и описание
Область и условия применения:
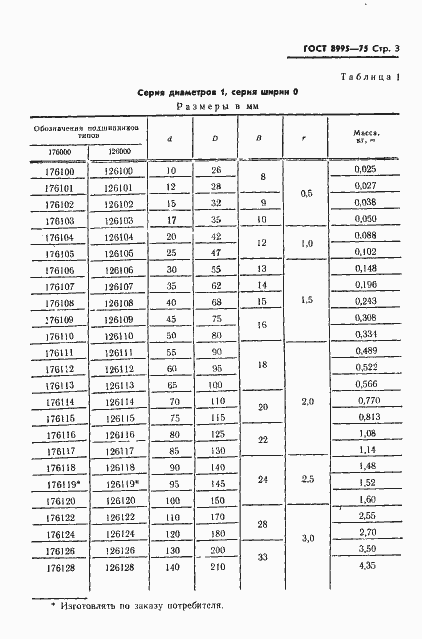
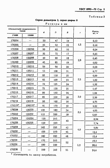
Настоящий стандарт распространяется на однорядные радиально-упорные шариковые подшипники с разъемным внутренним кольцом, предназначенные для восприятия комбинированных (радиальных и осевых) нагрузок переменного направления
Связи и замены
Заменяющий:
-
Взамен:
ГОСТ 8995-59
Изменения и переиздания
Список изменений:
№1 от (рег. ) «Срок действия продлен» №2 от (рег. ) «Срок действия продлен»
Описание стандарта
ГОСТ 8995-75 Подшипники шариковые радиально-упорные однорядные с одним разъемным кольцом. Типы и основные размеры
Страницы стандарта



















