ГОСТ 9942-90 Подшипники упорно-радиальные роликовые сферические одинарные. Технические условия
ГОСТ
Скачать ГОСТ в PDF или DOC бесплатно
Основная информация
Обозначение:
ГОСТ 9942-90
Статус:
Действует
Тип:
ГОСТ
Название русское:
Подшипники упорно-радиальные роликовые сферические одинарные. Технические условия
Название английское:
Spherical single thrust-radial roller bearings. Specifications
Даты и сроки
Дата издания:
08-01-07
Дата введения в действие:
06-30-91
Дата завершения срока действия:
-
Применение и описание
Область и условия применения:
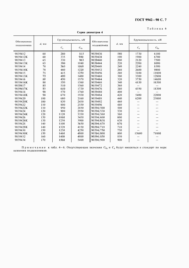
Настоящий стандарт распространяется на одинарные сферические упорно-радиальные подшипники качения с асимметричными бочкообразными роликами серий диамертов 2, 3, 4, серий высот 9 по ГОСТ 3478. Стандарт устанавливает требования, обеспечивающие взаимозаменяемость одинарных сферических упорно-радиальных подшипников
Связи и замены
Заменяющий:
-
Взамен:
ГОСТ 9942-80
Описание стандарта
ГОСТ 9942-90 Подшипники упорно-радиальные роликовые сферические одинарные. Технические условия
Страницы стандарта









