ГОСТ Р 58867-2020 Подшипники качения приборные. Методы измерения твердости деталей подшипников
ГОСТ Р
Скачать ГОСТ в PDF или DOC бесплатно
Основная информация
Обозначение:
ГОСТ Р 58867-2020
Статус:
Действует
Тип:
ГОСТ Р
Название русское:
Подшипники качения приборные. Методы измерения твердости деталей подшипников
Название английское:
Instrument rolling bearings. Methods of measuring hardness parts of bearings
Даты и сроки
Дата издания:
07-06-20
Дата введения в действие:
08-01-20
Дата завершения срока действия:
-
Применение и описание
Область и условия применения:
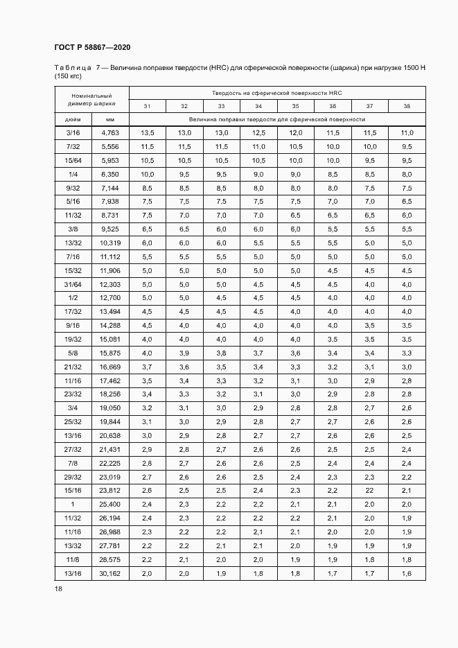
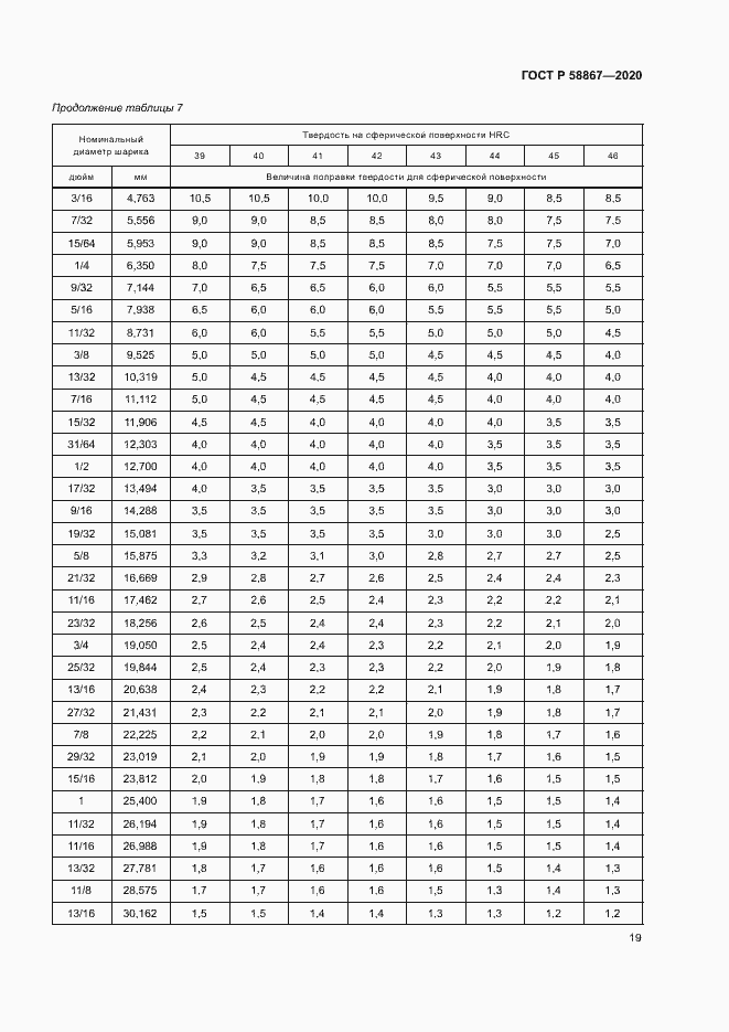
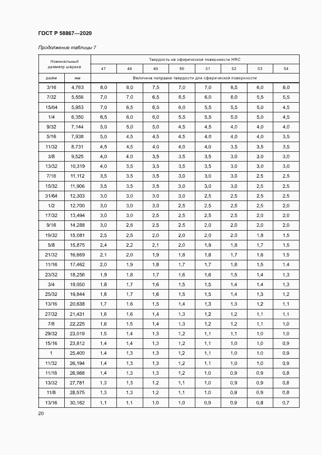
Настоящий стандарт устанавливает методы измерения твердости в закаленном и (или) упрочненном состоянии деталей шариковых приборных подшипников качения. Настоящий стандарт распространяется на детали приборных шариковых подшипников качения и шарикоподшипниковых опор и применяется при их изготовлении, контроле, подтверждении соответствия требованиям нормативной или технической документации
Связи и замены
Заменяющий:
-
Описание стандарта
ГОСТ Р 58867-2020 Подшипники качения приборные. Методы измерения твердости деталей подшипников
Страницы стандарта




































