ГОСТ 30188-97 Цепи грузоподъемные калиброванные высокопрочные. Технические условия
ГОСТ
Скачать ГОСТ в PDF или DOC бесплатно
Основная информация
Обозначение:
ГОСТ 30188-97
Статус:
Действует
Тип:
ГОСТ
Название русское:
Цепи грузоподъемные калиброванные высокопрочные. Технические условия
Название английское:
Calibrated lifting chains of high strength. Specifications
Даты и сроки
Дата регистрации:
04-23-97
Дата издания:
05-01-06
Дата введения в действие:
01-01-02
Дата завершения срока действия:
-
Применение и описание
Область и условия применения:
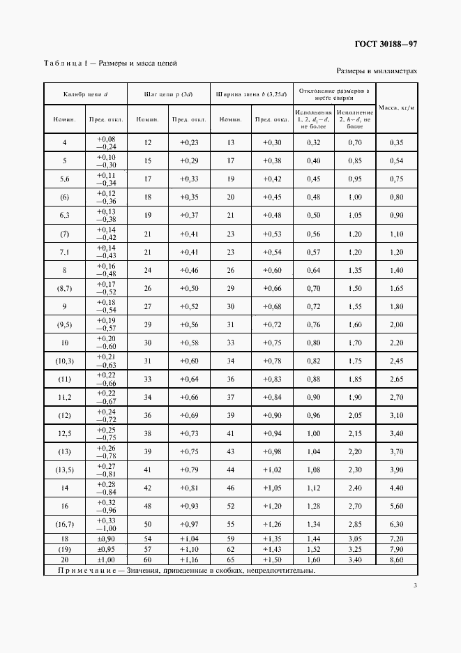
Настоящий стандарт распространяется на сварные калиброванные высокопрочные цепи, предназначенные для работы на звездочках в цепных талях и других грузоподъемных устройствах. Цепи, изготовленные в соответствии с настоящим стандартом, не могут быть использованы в качестве стропов. Настоящий стандарт устанавливает технические требования к цепям класса прочности Т(8) с напряжением при разрушающей нагрузке не менее 800 МПа
Связи и замены
Заменяющий:
-
Описание стандарта
ГОСТ 30188-97 Цепи грузоподъемные калиброванные высокопрочные. Технические условия
Страницы стандарта














