ГОСТ 15180-86 Прокладки плоские эластичные. Основные параметры и размеры
ГОСТ
Скачать ГОСТ в PDF или DOC бесплатно
Основная информация
Обозначение:
ГОСТ 15180-86
Статус:
Действует
Тип:
ГОСТ
Название русское:
Прокладки плоские эластичные. Основные параметры и размеры
Название английское:
Flexible flat gaskets. Main parameters and dimensions
Даты и сроки
Дата издания:
12-22-86
Дата введения в действие:
01-01-88
Дата завершения срока действия:
-
Применение и описание
Область и условия применения:
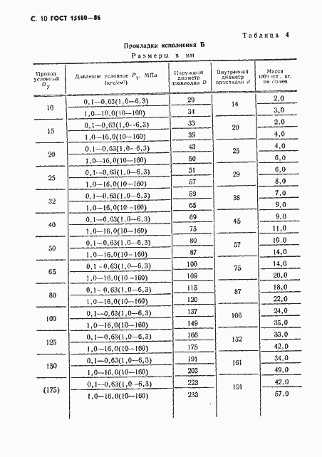
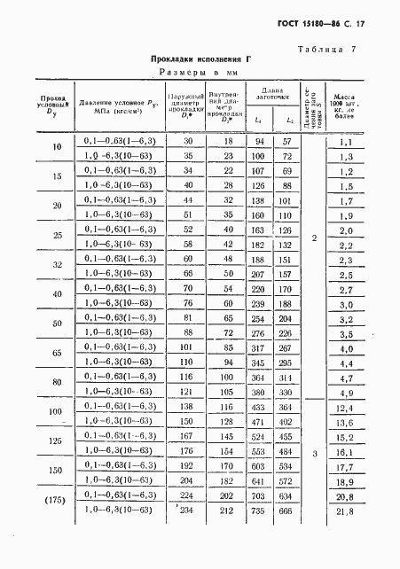
Настоящий стандарт распространяется на плоские эластичные прокладки из паронита, резины, картона, фторопласта-4 и композиционных материалов на их основе для фланцев арматуры, соединительных частей и трубопроводов с уплотнительными поверхностями исполнений 1-5, 8, 9 по ГОСТ 12815-80, изготовляемые на условное давление Ру от 0,1 до 20,0 МПа (от 1 до 200 кгс/см кв) и условный проход Dу от 10 до 3000 мм
Связи и замены
Заменяющий:
-
Взамен:
ГОСТ 15180-70
Описание стандарта
ГОСТ 15180-86 Прокладки плоские эластичные. Основные параметры и размеры
Страницы стандарта






















