ГОСТ 16078-70 Соединения трубопроводов по внутреннему конусу. Технические требования
ГОСТ
Скачать ГОСТ в PDF или DOC бесплатно
Основная информация
Обозначение:
ГОСТ 16078-70
Статус:
Действует
Тип:
ГОСТ
Название русское:
Соединения трубопроводов по внутреннему конусу. Технические требования
Название английское:
Tube connections on internal cone. Technical requirements
Даты и сроки
Дата издания:
06-01-87
Дата введения в действие:
01-01-71
Дата завершения срока действия:
-
Применение и описание
Область и условия применения:
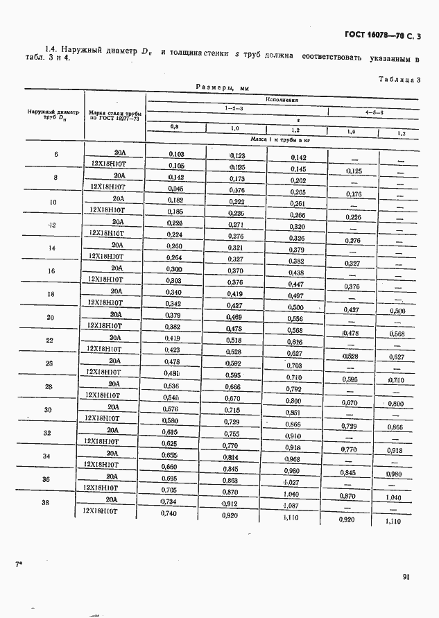
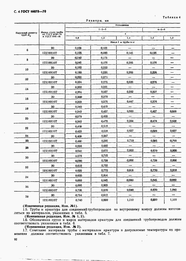
Настоящий стандарт распространяется на соединения трубопроводов по внутреннему конусу, используемые в различных жидкостных и газовых средах, в том числе и агрессивных, для работы при температуре от минус 60 до плюс 500 град. С и давлениях до 650 кгс/см кв. (65 МПа) - в зависимости от применяемых материалов, сортамента труб и вида соединения. Соединения трубопроводов по внутреннему конусу применяются на изделиях с поршневыми, газотурбинными и ракетными двигателями, а также в системах наземного оборудования, обслуживающих эти изделия
Связи и замены
Заменяющий:
-
Изменения и переиздания
Список изменений:
№1 от (рег. ) «Срок действия продлен» №2 от (рег. ) «Срок действия продлен»
Описание стандарта
ГОСТ 16078-70 Соединения трубопроводов по внутреннему конусу. Технические требования
Страницы стандарта















