ГОСТ Р 55076-2012 Трубы и детали трубопроводов из реактопластов, армированных стекловолокном. Методы определения наработки до отказа под действием постоянного внутреннего давления
ГОСТ Р
Скачать ГОСТ в PDF или DOC бесплатно
Основная информация
Обозначение:
ГОСТ Р 55076-2012
Статус:
Действует
Тип:
ГОСТ Р
Название русское:
Трубы и детали трубопроводов из реактопластов, армированных стекловолокном. Методы определения наработки до отказа под действием постоянного внутреннего давления
Название английское:
Fiberglass reinforced thermosetting plastic pipes and part of pipelines. Methods for determination of time to failure under sustained internal pressure
Даты и сроки
Дата издания:
04-25-18
Дата введения в действие:
01-01-14
Дата завершения срока действия:
-
Применение и описание
Область и условия применения:
Настоящий стандарт устанавливает метод определения времени до отказа труб и деталей трубопроводов из реактопластов, армированных стекловолокном, при воздействии внутреннего давления
Связи и замены
Заменяющий:
-
Изменения и переиздания
Список изменений:
№0 от (рег. ) «Дата введения перенесена» №1 от (рег. ) «Текстовое изменение; Изменены ссылочные НД»
Описание стандарта
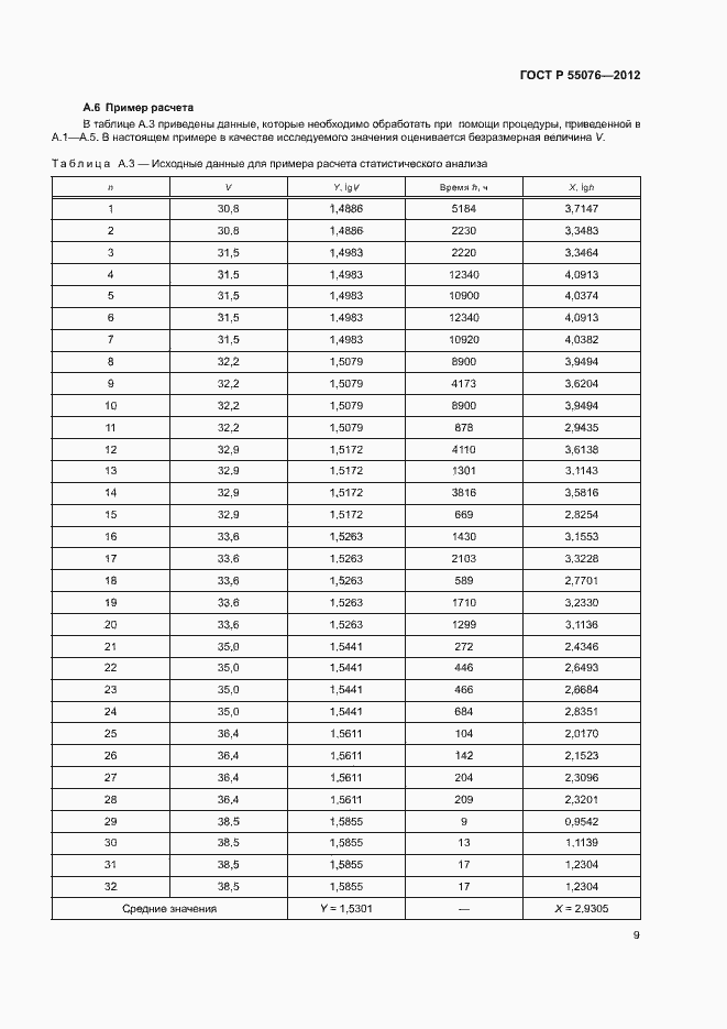
ГОСТ Р 55076-2012 Трубы и детали трубопроводов из реактопластов, армированных стекловолокном. Методы определения наработки до отказа под действием постоянного внутреннего давления
Страницы стандарта
















Приложение №1: Изменение №1 к ГОСТ Р 55076-2012 Обозначение: Изменение №1 к ГОСТ Р 55076-2012 Дата введения в действие: 01.02.2018

Приложение №1: Изменение №1 к ГОСТ Р 55076-2012 Обозначение: Изменение №1 к ГОСТ Р 55076-2012 Дата введения в действие: 01.02.2018

Приложение №1: Изменение №1 к ГОСТ Р 55076-2012 Обозначение: Изменение №1 к ГОСТ Р 55076-2012 Дата введения в действие: 01.02.2018

Приложение №1: Изменение №1 к ГОСТ Р 55076-2012 Обозначение: Изменение №1 к ГОСТ Р 55076-2012 Дата введения в действие: 01.02.2018

Приложение №2: Поправка к ГОСТ Р 55076-2012 Обозначение: Поправка к ГОСТ Р 55076-2012 Дата введения в действие: 11.09.2018
