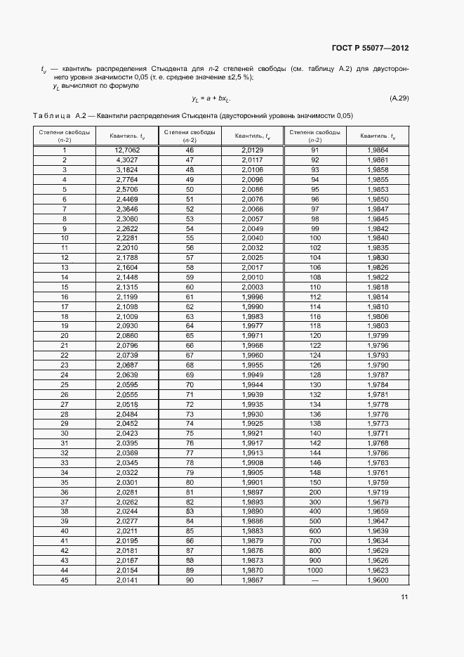
ГОСТ Р 55077-2012 Трубы и детали трубопроводов из реактопластов, армированных стекловолокном. Методы определения химической стойкости внутренней поверхности в условиях нагружения
ГОСТ Р
Скачать ГОСТ в PDF или DOC бесплатно
Основная информация
Обозначение:
ГОСТ Р 55077-2012
Статус:
Отменен
Тип:
ГОСТ Р
Название русское:
Трубы и детали трубопроводов из реактопластов, армированных стекловолокном. Методы определения химической стойкости внутренней поверхности в условиях нагружения
Название английское:
Fiberglass reinforced thermosetting plastic pipes and part of pipelines. Methods for determination of the resistance to chemical attack for the inside of a section in a deflected condition
Даты и сроки
Дата издания:
04-27-18
Дата введения в действие:
01-01-14
Дата завершения срока действия:
08-01-20
Применение и описание
Область и условия применения:
Настоящий стандарт устанавливает метод определения химической стойкости труб и фитингов из реактопластов, армированных стекловолокном, номинальным диаметром DN больше равно 100 в условиях нагружения
Связи и замены
Заменяющий:
-
Изменения и переиздания
Список изменений:
№1 от (рег. ) «»
Описание стандарта
ГОСТ Р 55077-2012 Трубы и детали трубопроводов из реактопластов, армированных стекловолокном. Методы определения химической стойкости внутренней поверхности в условиях нагружения
Страницы стандарта
















Приложение №1: Изменение №1 к ГОСТ Р 55077-2012 Обозначение: Изменение №1 к ГОСТ Р 55077-2012 Дата введения в действие: 01.02.2018
