ГОСТ Р 54560-2015 Трубы и детали трубопроводов из реактопластов, армированных стекловолокном, для водоснабжения, водоотведения, дренажа и канализации. Технические условия
ГОСТ Р
Скачать ГОСТ в PDF или DOC бесплатно
Основная информация
Обозначение:
ГОСТ Р 54560-2015
Статус:
Действует
Тип:
ГОСТ Р
Название русское:
Трубы и детали трубопроводов из реактопластов, армированных стекловолокном, для водоснабжения, водоотведения, дренажа и канализации. Технические условия
Название английское:
Fibrе reinforced thermosetting plastic pipes and parts of pipelines. Specifications
Даты и сроки
Дата издания:
02-25-16
Дата введения в действие:
01-01-17
Дата завершения срока действия:
-
Применение и описание
Область и условия применения:
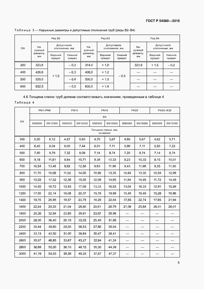
Настоящий стандарт распространяется на трубы и детали трубопроводов из реактопластов, армированных стекловолокном (далее-трубы и фитинге), номинальным диаметром от 300 до 3000, эксплуатируемые при рабочем давлении до 3,2 МПа и при температуре рабочей среды до 35 °С, и предназначенные для использования в напорных и безнапорных трубопроводных системах водоснабжения, водоотведения, дренажа и канализации
Связи и замены
Заменяющий:
-
Взамен:
ГОСТ Р 54560-2011
Описание стандарта
ГОСТ Р 54560-2015 Трубы и детали трубопроводов из реактопластов, армированных стекловолокном, для водоснабжения, водоотведения, дренажа и канализации. Технические условия
Страницы стандарта


































