ГОСТ 15040-2016 Трубы из бескислородной меди. Технические условия
ГОСТ
Скачать ГОСТ в PDF или DOC бесплатно
Основная информация
Обозначение:
ГОСТ 15040-2016
Статус:
Действует
Тип:
ГОСТ
Название русское:
Трубы из бескислородной меди. Технические условия
Название английское:
Oxygen-free copper pipes. Specifications
Даты и сроки
Дата регистрации:
02-29-16
Дата издания:
05-19-17
Дата введения в действие:
04-01-17
Дата завершения срока действия:
-
Применение и описание
Область и условия применения:
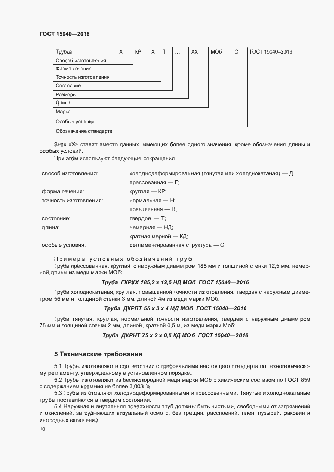
Настоящий стандарт распространяется на холоднодеформированные и прессованные трубы круглого сечения из бескислородной меди, предназначенные для применения в электронной технике. Стандарт устанавливает сортамент, технические требования, правила приемки, методы контроля и испытаний, правила упаковки, маркировки, транспортирования и хранения труб
Связи и замены
Заменяющий:
-
Взамен:
ГОСТ 15040-77
Описание стандарта
ГОСТ 15040-2016 Трубы из бескислородной меди. Технические условия
Страницы стандарта






















