ГОСТ Р 53366-2009 Трубы стальные, применяемые в качестве обсадных или насосно-компрессорных труб для скважин в нефтяной и газовой промышленности. Общие технические условия
ГОСТ Р
Скачать ГОСТ в PDF или DOC бесплатно
Основная информация
Обозначение:
ГОСТ Р 53366-2009
Статус:
Отменен
Тип:
ГОСТ Р
Название русское:
Трубы стальные, применяемые в качестве обсадных или насосно-компрессорных труб для скважин в нефтяной и газовой промышленности. Общие технические условия
Название английское:
Steel pipes for use as casing or tubing for wells in petroleum and natural gas industries. General specifications
Даты и сроки
Дата издания:
03-10-10
Дата введения в действие:
03-01-10
Дата завершения срока действия:
07-01-18
Применение и описание
Область и условия применения:
Настоящий стандарт распространяется на стальные трубы (обсадные и насосно-компрессорные трубы, трубы без резьбы, трубы без резьбы для потайных колонн, укороченные трубы, переводники), муфты, трубные заготовки для муфт, заготовки для соединительных деталей, изготавливаемые по трем уровням требований к продукции (PSL-1, PSL-2, PSL-3). Основными для настоящего стандарта являются требования PSL-1. Требования, устанавливаемые уровнями технических требований PSL-2 и PSL-3 к изделиям всех групп прочности кроме H40 и L80 тип 9Cr, приведены в приложении. Настоящий стандарт может быть применим к трубным изделиям с резьбовыми соединениями, не предусмотренными настоящим стандартом. Настоящий стандарт не устанавливает требований к резьбе
Связи и замены
Заменяющий:
-
Изменения и переиздания
Список изменений:
№0 от (рег. ) «Текстовое изменение; Изменено заглавие» №0 от (рег. ) «Восстановлен на территории РФ» №0 от (рег. ) «Восстановлен на территории РФ» №0 от (рег. ) «Дата введения перенесена» №1 от (рег. ) «Текстовое изменение; Изменены ссылочные НД»
Описание стандарта
ГОСТ Р 53366-2009 Трубы стальные, применяемые в качестве обсадных или насосно-компрессорных труб для скважин в нефтяной и газовой промышленности. Общие технические условия
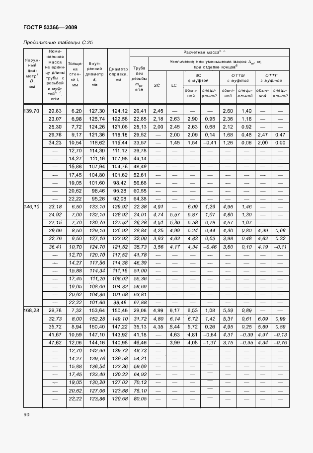
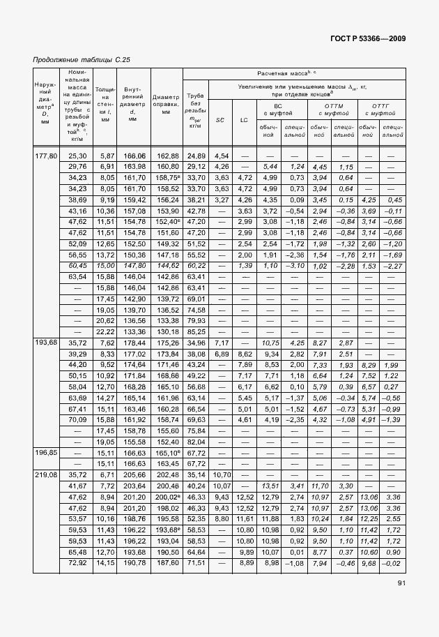
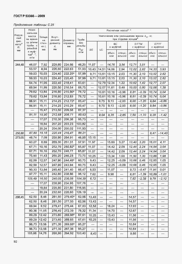
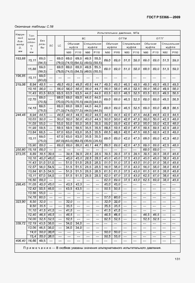
Страницы стандарта











































































































































































































Приложение №4: Изменение №1 к ГОСТ Р 53366-2009 Обозначение: Изменение №1 к ГОСТ Р 53366-2009 Дата введения в действие: 01.03.2015

Приложение №4: Изменение №1 к ГОСТ Р 53366-2009 Обозначение: Изменение №1 к ГОСТ Р 53366-2009 Дата введения в действие: 01.03.2015

Приложение №4: Изменение №1 к ГОСТ Р 53366-2009 Обозначение: Изменение №1 к ГОСТ Р 53366-2009 Дата введения в действие: 01.03.2015

Приложение №4: Изменение №1 к ГОСТ Р 53366-2009 Обозначение: Изменение №1 к ГОСТ Р 53366-2009 Дата введения в действие: 01.03.2015

Приложение №4: Изменение №1 к ГОСТ Р 53366-2009 Обозначение: Изменение №1 к ГОСТ Р 53366-2009 Дата введения в действие: 01.03.2015

Приложение №4: Изменение №1 к ГОСТ Р 53366-2009 Обозначение: Изменение №1 к ГОСТ Р 53366-2009 Дата введения в действие: 01.03.2015

Приложение №4: Изменение №1 к ГОСТ Р 53366-2009 Обозначение: Изменение №1 к ГОСТ Р 53366-2009 Дата введения в действие: 01.03.2015

Приложение №5: Поправка к ГОСТ Р 53366-2009 Обозначение: Поправка к ГОСТ Р 53366-2009 Дата введения в действие: 23.11.2015
