ГОСТ Р 57949-2017 Трубы и детали трубопроводов из реактопластов, армированных стекловолокном. Методы регрессионного анализа
ГОСТ Р
Скачать ГОСТ в PDF или DOC бесплатно
Основная информация
Обозначение:
ГОСТ Р 57949-2017
Статус:
Действует
Тип:
ГОСТ Р
Название русское:
Трубы и детали трубопроводов из реактопластов, армированных стекловолокном. Методы регрессионного анализа
Название английское:
Fiberglass-reinforced thermosetting plastic pipes and parts of pipelines. Methods for regression analysis
Даты и сроки
Дата издания:
12-21-17
Дата введения в действие:
06-01-18
Дата завершения срока действия:
-
Применение и описание
Область и условия применения:
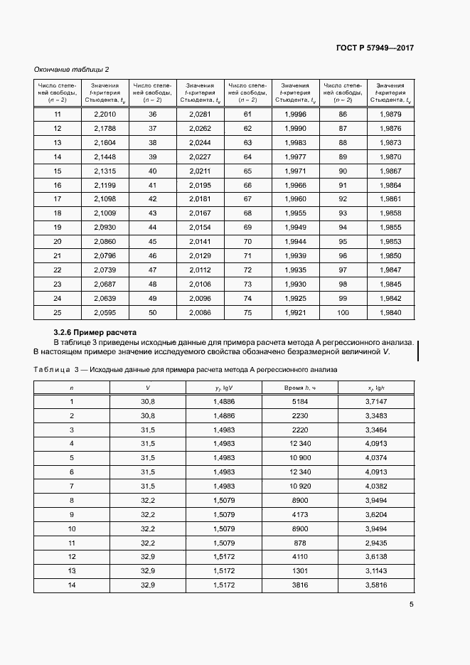
Настоящий стандарт устанавливает два метода регрессионного анализа данных, которые при преобразовании в логарифмические значения имеют нормальное или асимметричное распределение. Настоящий стандарт применяют совместно со стандартами на методы испытаний труб и деталей трубопроводов из реактопластов, армированных стекловолокном для анализа зависимости их свойств от времени. Настоящий стандарт может быть также применен для анализа других данных. Порядок проведения испытаний для сбора данных, количество требуемых образцов и период времени сбора данных установлены в стандартах на методы испытаний труб и деталей трубопроводов из реактопластов, армированных стекловолокном
Связи и замены
Заменяющий:
-
Описание стандарта
ГОСТ Р 57949-2017 Трубы и детали трубопроводов из реактопластов, армированных стекловолокном. Методы регрессионного анализа
Страницы стандарта













































