ГОСТ 34438.2-2018 Трубы бурильные и другие элементы бурильных колонн в нефтяной и газовой промышленности. Часть 2. Основные параметры и контроль резьбовых упорных соединений. Общие технические требования
ГОСТ
Скачать ГОСТ в PDF или DOC бесплатно
Основная информация
Обозначение:
ГОСТ 34438.2-2018
Статус:
Действует
Тип:
ГОСТ
Название русское:
Трубы бурильные и другие элементы бурильных колонн в нефтяной и газовой промышленности. Часть 2. Основные параметры и контроль резьбовых упорных соединений. Общие технические требования
Название английское:
Drill pipes and other elements of drilling equipment for petroleum and natural gas industries. Part 2. Basic parameters and inspection of thread shouldered connection. General technical requirements
Даты и сроки
Дата регистрации:
07-27-18
Дата издания:
11-28-18
Дата введения в действие:
07-01-19
Дата завершения срока действия:
-
Применение и описание
Область и условия применения:
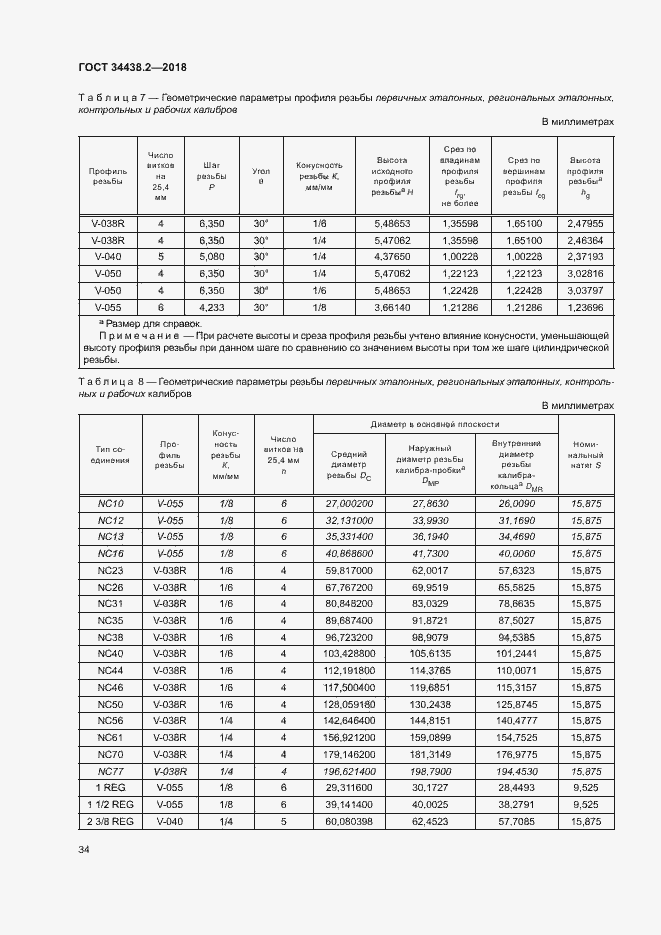
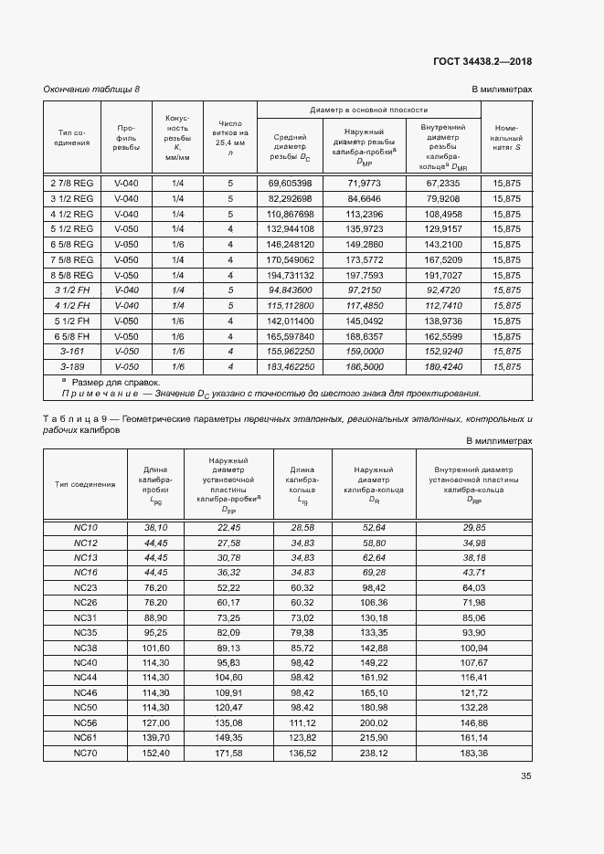
Настоящий стандарт устанавливает требования к резьбовым упорным соединениям бурильных труб и других элементов бурильных колонн, используемых в нефтяной и газовой промышленности. В настоящем стандарте приведены обязательные требования к геометрическим параметрам резьбовых упорных соединений и их покрытию, дополнительные требования к разгрузочным элементам, контрольным меткам, холодному деформационному упрочнению и приработке соединений, а также правила приемки и методы проведения контроля соединений, требования к применяемым для контроля резьбовым калибрам и рекомендации по применению измерительных приборов. Настоящий стандарт распространяется на следующие типы резьбовых упорных соединений: - FH-тип соединения с широким проходным отверстием с профилем резьбы V-040 или V-050. - NC-соединение нумерационного типа с профилем резьбы V-038R. - REG-соединение обычного типа с профилем резьбы V-040, V-050 или V-055. - З-тип замкового соединения по ГОСТ 28487 с профилем резьбы V-038 или V-040 или V-050 или V-055
Связи и замены
Заменяющий:
-
Описание стандарта
ГОСТ 34438.2-2018 Трубы бурильные и другие элементы бурильных колонн в нефтяной и газовой промышленности. Часть 2. Основные параметры и контроль резьбовых упорных соединений. Общие технические требования
Страницы стандарта






































































Приложение №1: Поправка к ГОСТ 34438.2-2018 Обозначение: Поправка к ГОСТ 34438.2-2018 Дата введения в действие: 19.02.2019
