ГОСТ Р ИСО 2531-2008 Трубы, фитинги, арматура и их соединения из чугуна с шаровидным графитом для водо- и газоснабжения. Технические условия
ГОСТ Р ИСО
Скачать ГОСТ в PDF или DOC бесплатно
Основная информация
Обозначение:
ГОСТ Р ИСО 2531-2008
Статус:
Отменен
Тип:
ГОСТ Р ИСО
Название русское:
Трубы, фитинги, арматура и их соединения из чугуна с шаровидным графитом для водо- и газоснабжения. Технические условия
Название английское:
Ductile iron pipes, fittings, accessories and their joints for water or gas applications. Specifications
Даты и сроки
Дата издания:
10-06-09
Дата введения в действие:
01-01-10
Дата завершения срока действия:
01-01-14
Применение и описание
Область и условия применения:
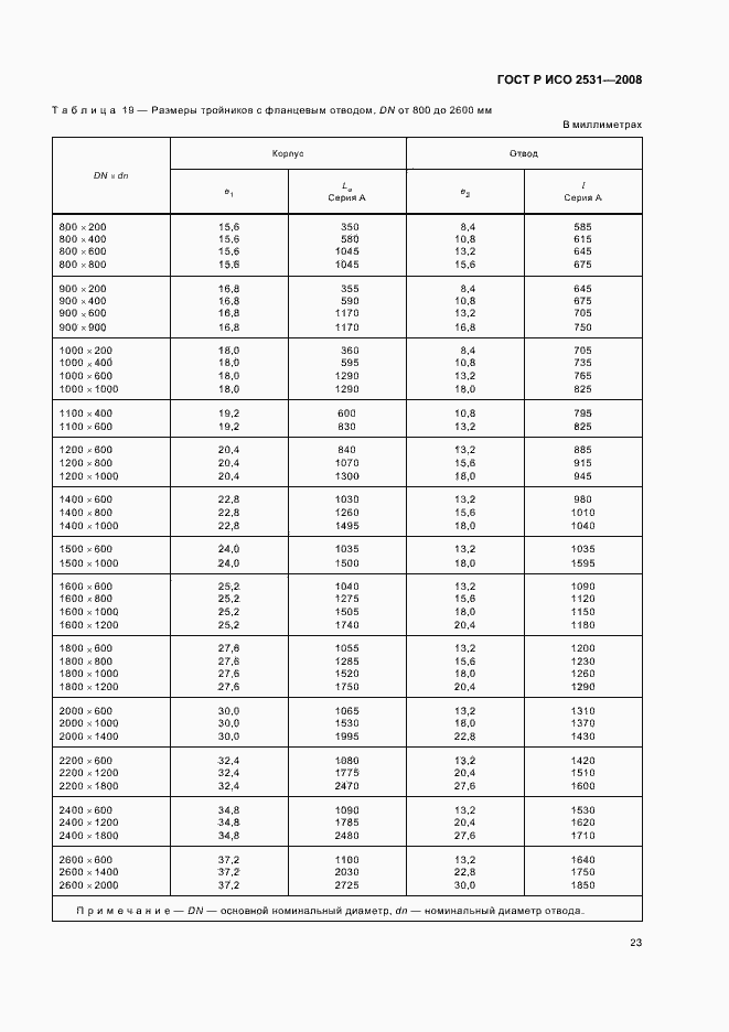
Настоящий стандарт устанавливает требования и методы испытаний труб и соединительных частей из чугуна с шаровидным графитом и их соединений, используемых для изготовления трубопрводов: - для транспортирования воды (например питьевой воды) или газа (например природного); - работающих под давлением или без давления; - прокладываемых под землей или наземных. Настоящий стандарт распространяется на чугунные трубы и соединительные части, отлитые любым способом литейного производства или изготовленные из отлитых деталей, а также на соответствующие соединения диаметром DN от 40 до 2600 мм включительно. Настоящий стандарт применим к трубам и соединительным частям, которые: - выполнеы с фланцевыми или раструбными концами для соединения посредством уплотнений различного типа (уплотнения не рассматриваются в настоящем стандарте); - обычно поставляются с внутренним и наружным покрытиями
Связи и замены
Заменяющий:
-
Изменения и переиздания
Список изменений:
№0 от (рег. ) «Текстовое изменение; Изменено заглавие»
Описание стандарта
ГОСТ Р ИСО 2531-2008 Трубы, фитинги, арматура и их соединения из чугуна с шаровидным графитом для водо- и газоснабжения. Технические условия
Страницы стандарта











































