ГОСТы >
01.080.40 Графические обозначения для технических чертежей, диаграмм, схем и соответствующей технической документации в области электротехники и электроники >
ГОСТ 27430-87
ГОСТ 27430-87 Машины электрические вращающиеся. Условные обозначения для описания синхронных машин
ГОСТ
Скачать ГОСТ в PDF или DOC бесплатно
Основная информация
Обозначение:
ГОСТ 27430-87
Статус:
Утратил силу в РФ
Тип:
ГОСТ
Название русское:
Машины электрические вращающиеся. Условные обозначения для описания синхронных машин
Название английское:
Electrical rotary machines. Conventions for description of synchronous machines
Даты и сроки
Дата издания:
01-21-88
Дата введения в действие:
06-30-88
Дата завершения срока действия:
05-27-25
Применение и описание
Область и условия применения:
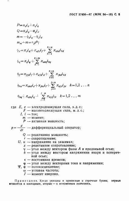
Настоящий стандарт устанавливает некоторые правила описания параметров синхронных машин в относительных единицах, базирующихся на принятых для электрических и магнитных цепей обозначениях
Связи и замены
Заменяющий:
-
Описание стандарта
ГОСТ 27430-87 Машины электрические вращающиеся. Условные обозначения для описания синхронных машин
Страницы стандарта













