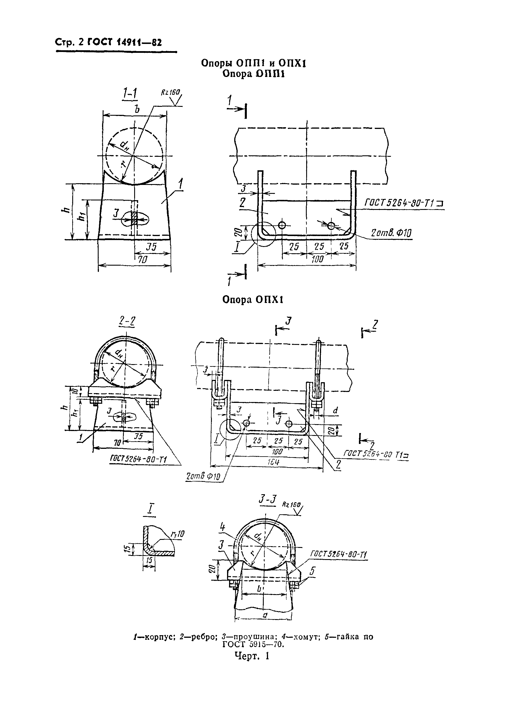
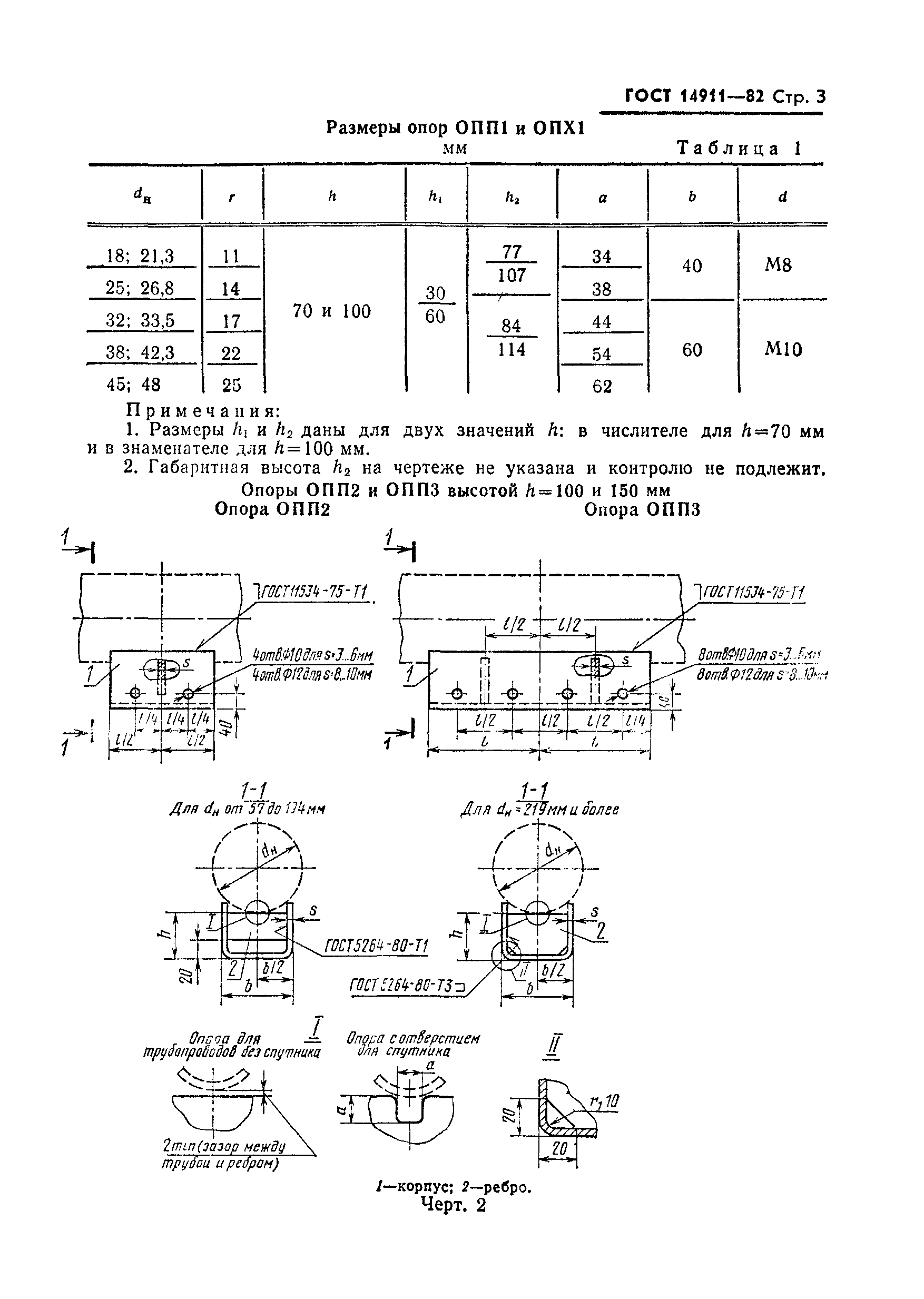
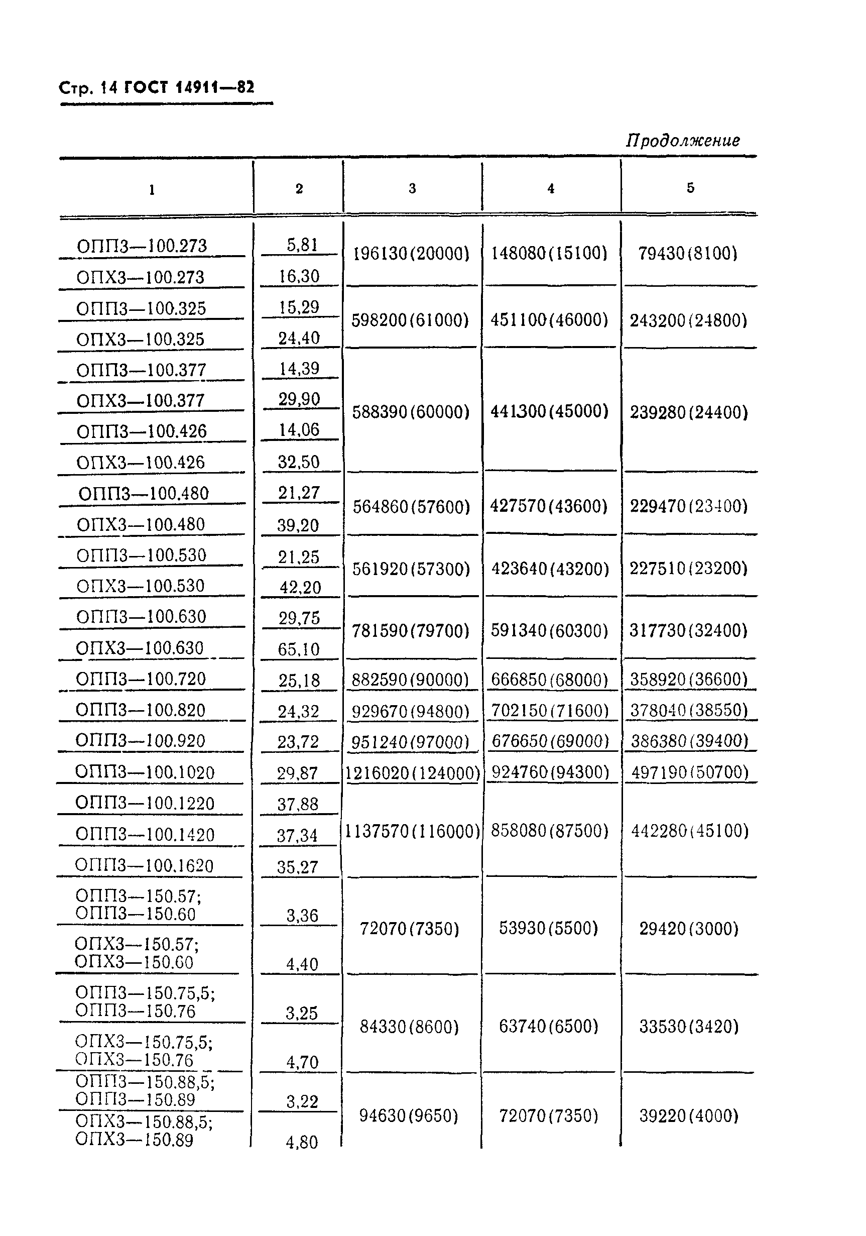
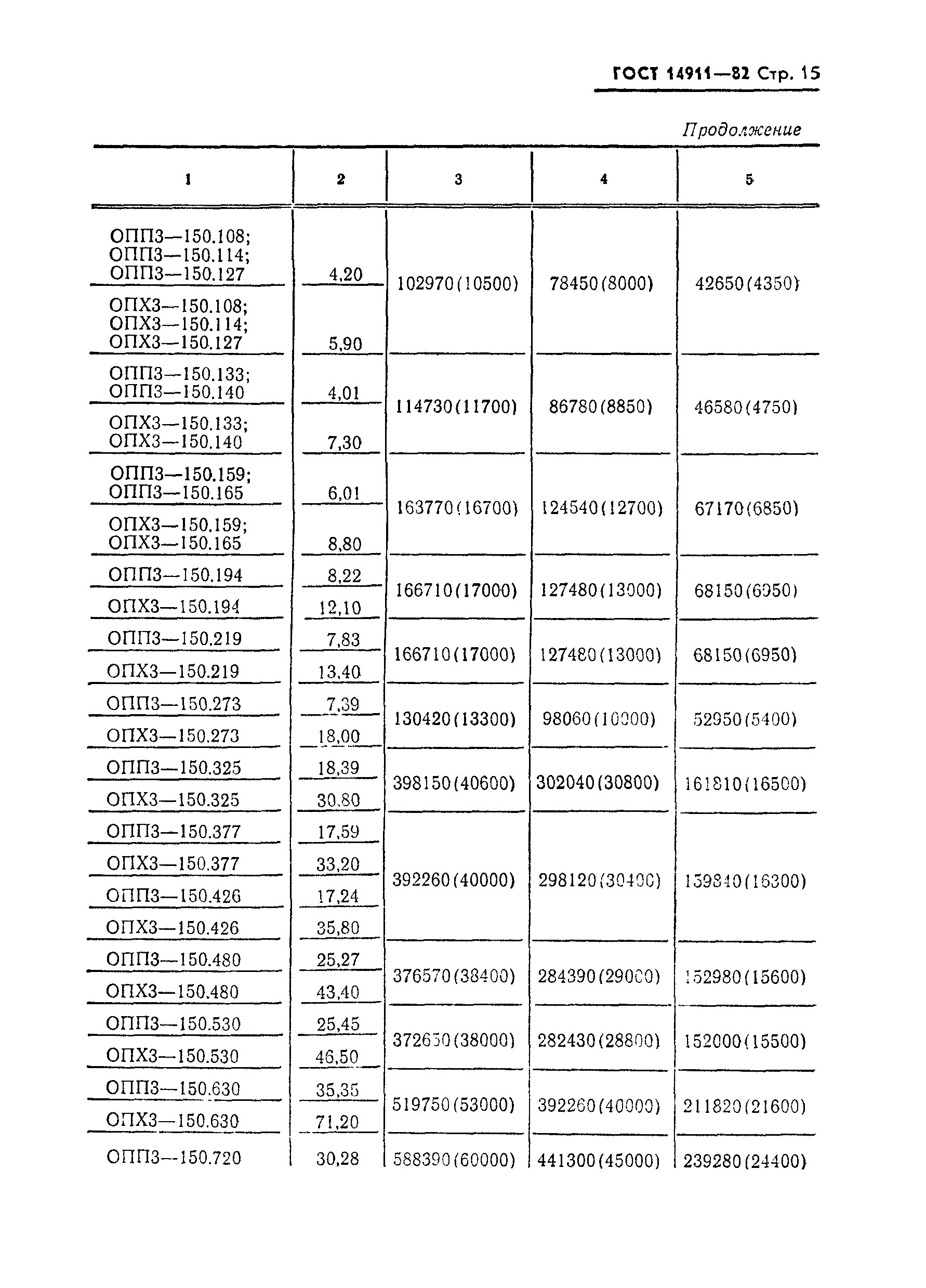
ГОСТ 14911-82 Детали стальных трубопроводов. Опоры подвижные. Типы и основные размеры
ГОСТ
Скачать ГОСТ в PDF или DOC бесплатно
Основная информация
Обозначение:
ГОСТ 14911-82
Статус:
утратил силу в РФ
Тип:
ГОСТ
Название русское:
Детали стальных трубопроводов. Опоры подвижные. Типы и основные размеры
Даты и сроки
Дата введения в действие:
01-01-78
Дата завершения срока действия:
01-01-92
Связи и замены
Заменяющий:
-
Описание стандарта
ГОСТ 14911-82 Детали стальных трубопроводов. Опоры подвижные. Типы и основные размеры
Страницы стандарта


















