ГОСТ 9544-2015 Арматура трубопроводная. Нормы герметичности затворов
ГОСТ
Скачать ГОСТ в PDF или DOC бесплатно
Основная информация
Обозначение:
ГОСТ 9544-2015
Статус:
Действует
Тип:
ГОСТ
Название русское:
Арматура трубопроводная. Нормы герметичности затворов
Название английское:
Pipeline valves. Leakage rates of valves
Даты и сроки
Дата регистрации:
03-27-15
Дата издания:
11-26-15
Дата введения в действие:
04-01-16
Дата завершения срока действия:
-
Применение и описание
Область и условия применения:
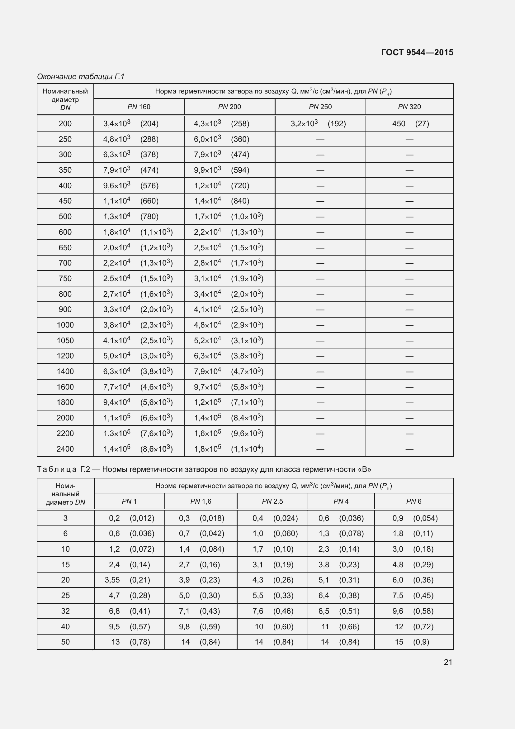
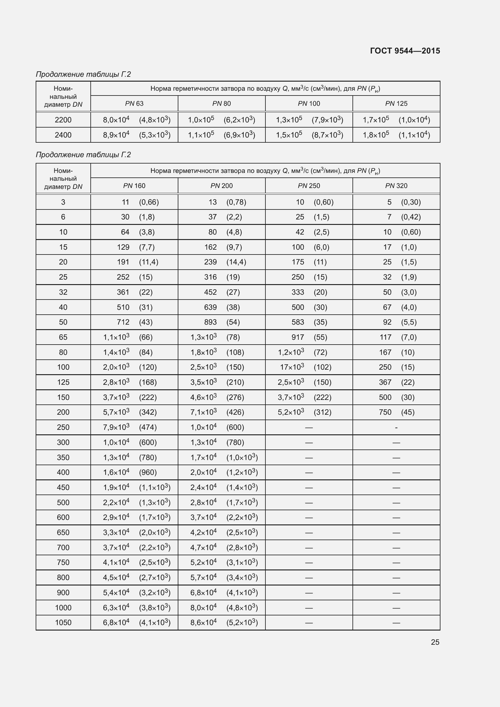
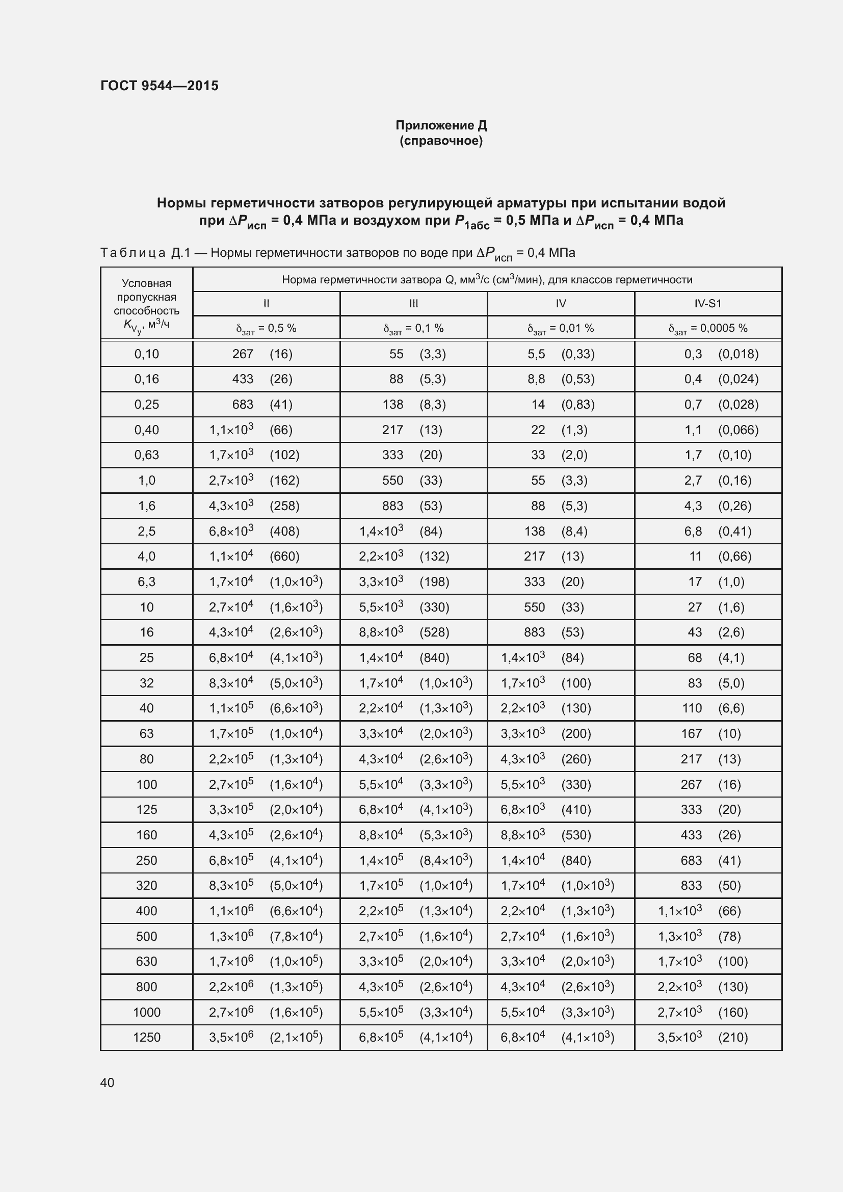
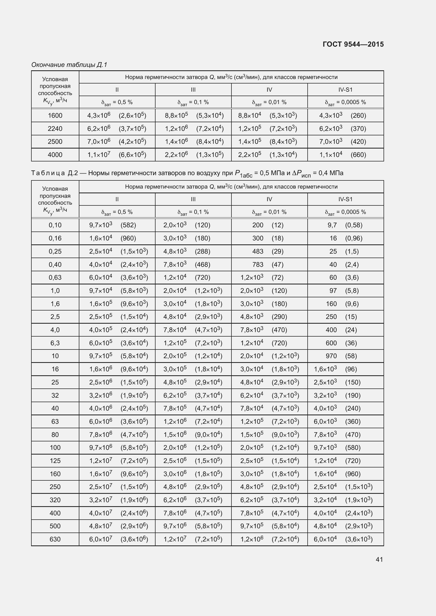
Настоящий стандарт устанавливает нормы и классы герметичности затворов трубопроводной арматуры номинальных диаметров от DN 3 до DN 2400 на номинальные давления до PN 420 всех видов (запорная, обратная, предохранительная, регулирующая, распределительно-смесительная, фазоразделительная) и всех типов (задвижки, клапаны, краны и дисковые затворы), а также для комбинированной арматуры. Нормы герметичности, приведённые в стандарте, применяют при всех видах испытаний, а также при проверках герметичности затвора арматуры в процессе эксплуатации
Связи и замены
Заменяющий:
-
Изменения и переиздания
Список изменений:
№0 от (рег. ) «Дата введения перенесена»
Описание стандарта
ГОСТ 9544-2015 Арматура трубопроводная. Нормы герметичности затворов
Страницы стандарта

























































Приложение №1: Поправка к ГОСТ 9544-2015 Обозначение: Поправка к ГОСТ 9544-2015 Дата введения в действие: 23.03.2016

Приложение №2: Поправка к ГОСТ 9544-2015 Обозначение: Поправка к ГОСТ 9544-2015 Дата введения в действие: 06.09.2022
