ГОСТ Р 54808-2011 Арматура трубопроводная. Нормы герметичности затворов
ГОСТ Р
Скачать ГОСТ в PDF или DOC бесплатно
Основная информация
Обозначение:
ГОСТ Р 54808-2011
Статус:
Отменен
Тип:
ГОСТ Р
Название русское:
Арматура трубопроводная. Нормы герметичности затворов
Название английское:
Pipeline valves. Leakage rates of valves
Даты и сроки
Дата издания:
06-18-12
Дата введения в действие:
07-01-12
Дата завершения срока действия:
04-01-17
Применение и описание
Область и условия применения:
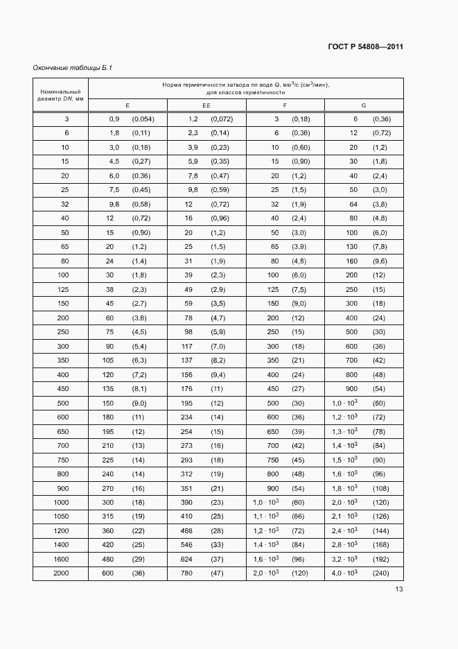
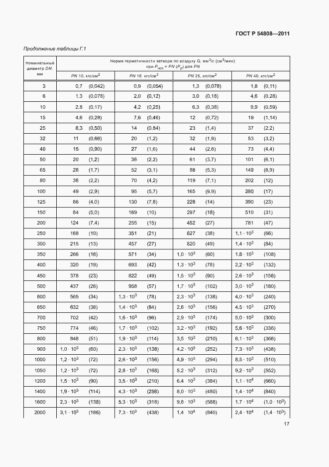
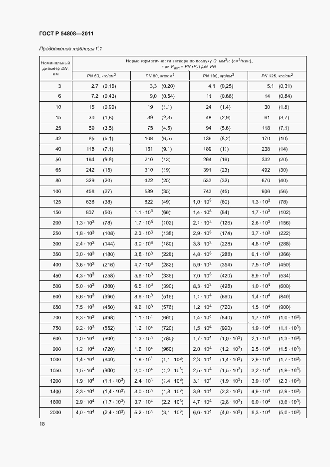
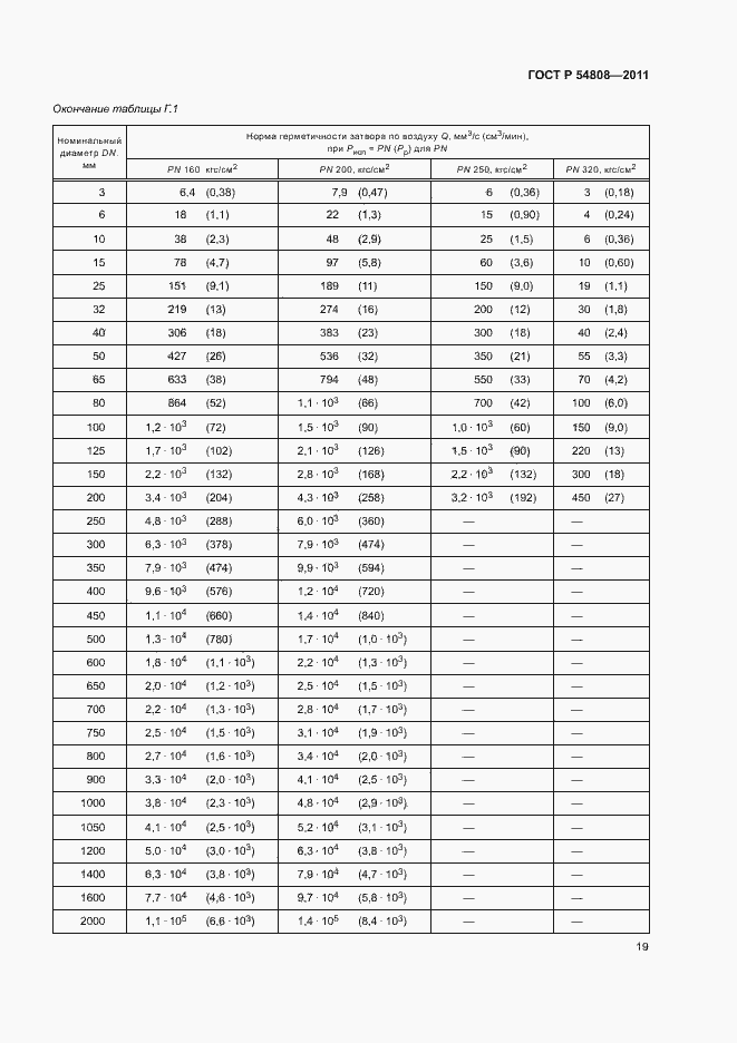
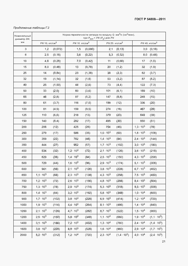
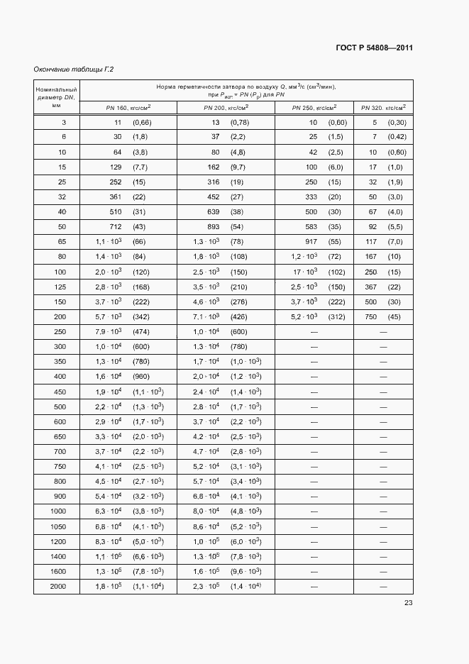
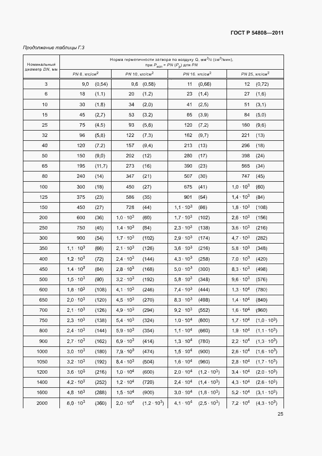
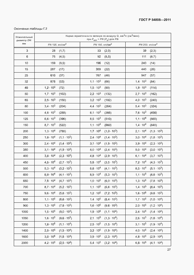
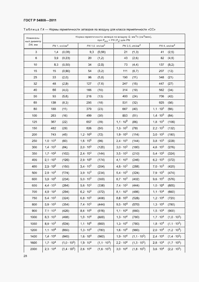
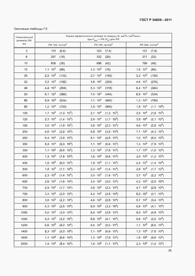
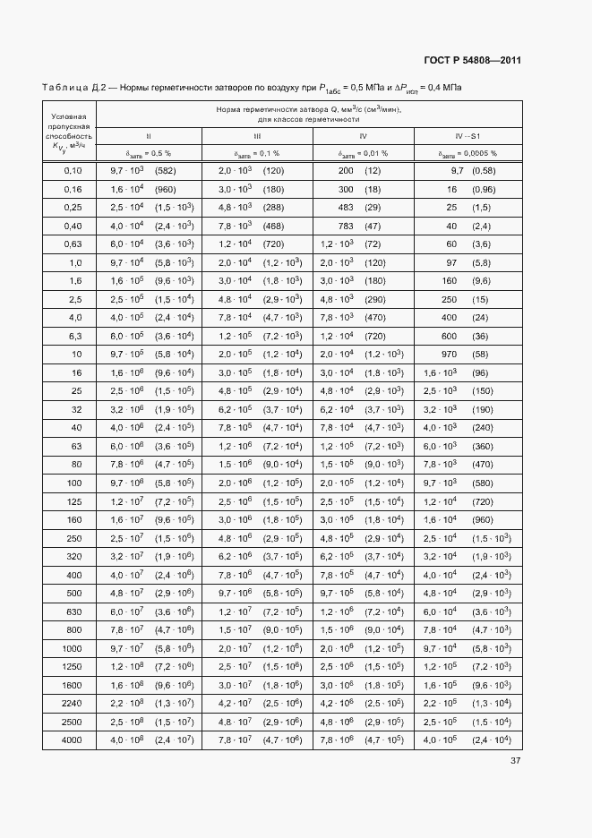
Настоящий стандарт устанавливает нормы и классы герметичности затворов трубопроводной арматуры (далее – арматура) номинальных диаметров от DN 3 до DN 2000 на номинальные давления от PN 1 до PN 420 всех видов (запорная, обратная, предохранительная, регулирующая, распределительно-смесительная, фазоразделительная) и всех типов (задвижки, клапаны, краны и дисковые затворы), а также для комбинированной арматуры. Нормы герметичности, приведенные в стандарте, применяют при всех видах испытаний, а также при проверках герметичности затвора арматуры в процессе эксплуатации. Настоящий стандарт пригоден для целей подтверждения соответствия
Связи и замены
Заменяющий:
-
Изменения и переиздания
Список изменений:
№0 от (рег. ) «Дата введения перенесена» №0 от (рег. ) «Текстовое изменение; Изменено заглавие»
Описание стандарта
ГОСТ Р 54808-2011 Арматура трубопроводная. Нормы герметичности затворов
Страницы стандарта














































Приложение №2: Поправка к ГОСТ Р 54808-2011 Обозначение: Поправка к ГОСТ Р 54808-2011 Дата введения в действие: 25.12.2012
