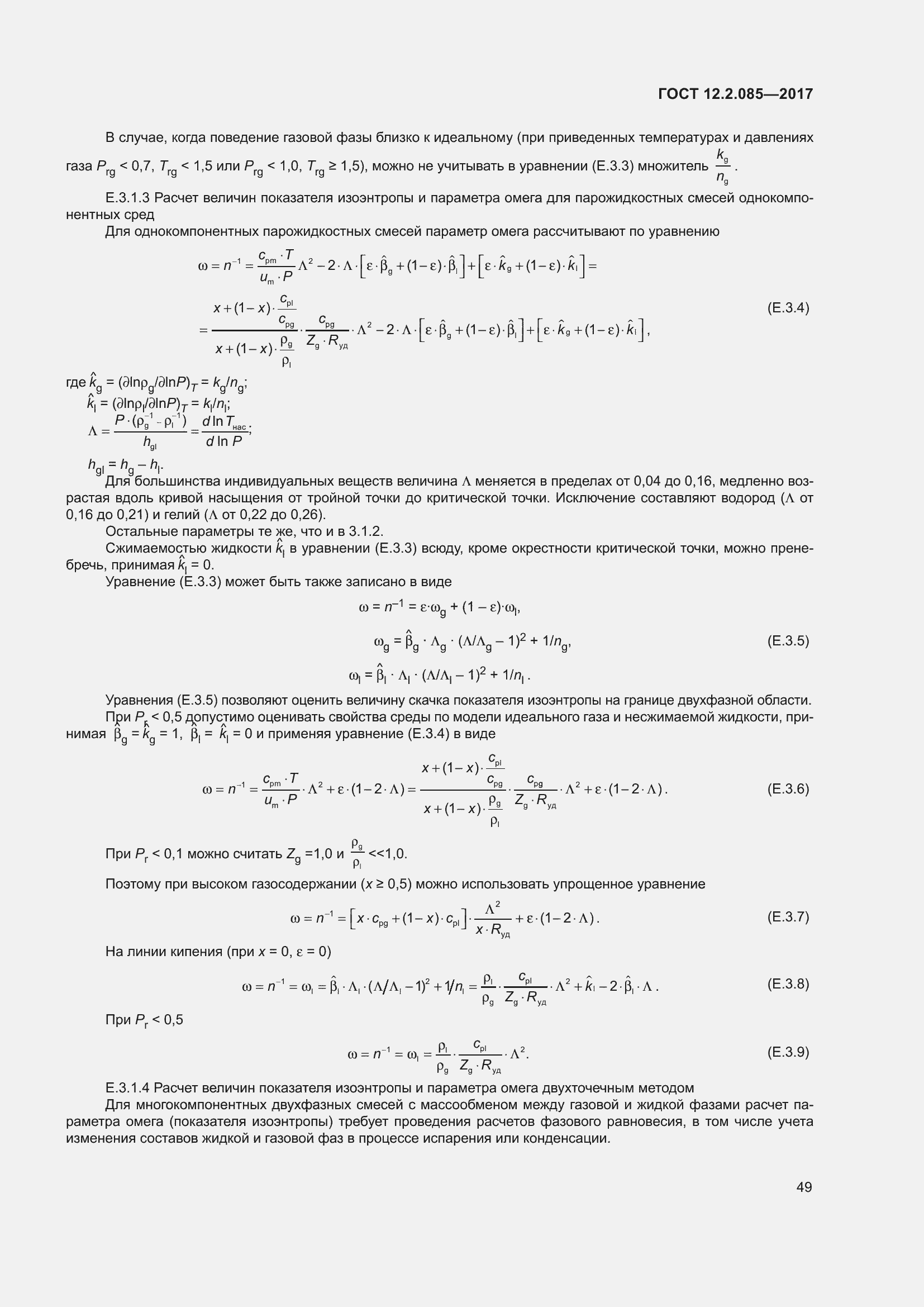
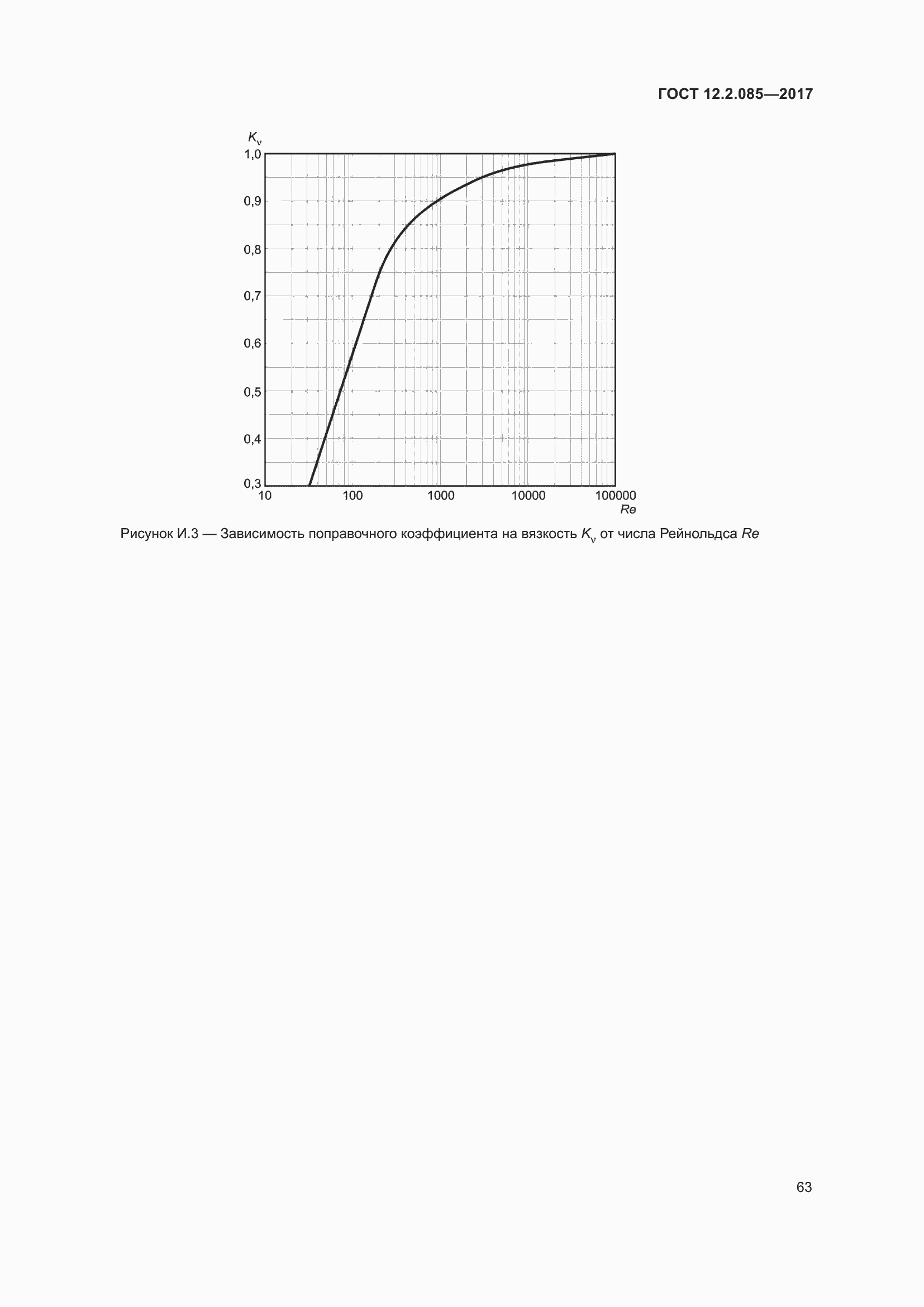
ГОСТ 12.2.085-2017 Арматура трубопроводная. Клапаны предохранительные. Выбор и расчет пропускной способности
ГОСТ
Скачать ГОСТ в PDF или DOC бесплатно
Основная информация
Обозначение:
ГОСТ 12.2.085-2017
Статус:
Действует
Тип:
ГОСТ
Название русское:
Арматура трубопроводная. Клапаны предохранительные. Выбор и расчет пропускной способности
Название английское:
Pipeline valves. Safety valves. Selection and calculation of capacity
Даты и сроки
Дата регистрации:
09-25-17
Дата издания:
04-12-18
Дата введения в действие:
11-01-18
Дата завершения срока действия:
-
Применение и описание
Область и условия применения:
Настоящий стандарт распространяется на клапаны предохранительные (далее – клапаны), предназначенные для защиты от аварийного повышения давления в оборудовании (сосудах, котлах, трубопроводах и др.), работающем под избыточным давлением свыше 0,05 МПа (0,5 бар или кгс/см кв.)) Далее по тексту единицу величины «бар» применяют вместо «бар или кгс/см кв.».), путем выпуска (сброса) рабочей среды из оборудования через клапан и устанавливает общие требования к выбору и расчету пропускной способности клапанов
Связи и замены
Заменяющий:
-
Взамен:
ГОСТ 12.2.085-2002
Описание стандарта
ГОСТ 12.2.085-2017 Арматура трубопроводная. Клапаны предохранительные. Выбор и расчет пропускной способности
Страницы стандарта








































































Приложение №1: Поправка к ГОСТ 12.2.085-2017 Обозначение: Поправка к ГОСТ 12.2.085-2017 Дата введения в действие: 12.02.2020

Приложение №2: Поправка к ГОСТ 12.2.085-2017 Обозначение: Поправка к ГОСТ 12.2.085-2017 Дата введения в действие: 27.12.2021
