ГОСТ Р 59126-2020 Магистральный трубопроводный транспорт нефти и нефтепродуктов. Арматура трубопроводная. Методика расчета требуемых гидравлических и кавитационных характеристик арматуры регулирующей для выбора в системы автоматического регулирования
ГОСТ Р
Скачать ГОСТ в PDF или DOC бесплатно
Основная информация
Обозначение:
ГОСТ Р 59126-2020
Статус:
Действует
Тип:
ГОСТ Р
Название русское:
Магистральный трубопроводный транспорт нефти и нефтепродуктов. Арматура трубопроводная. Методика расчета требуемых гидравлических и кавитационных характеристик арматуры регулирующей для выбора в системы автоматического регулирования
Название английское:
Trunk pipeline transport of oil and oil products. Pipeline valves. Calculation method of required hydraulic and cavitation characteristics of control valves for selection in automatic control systems
Даты и сроки
Дата издания:
12-14-20
Дата введения в действие:
07-01-21
Дата завершения срока действия:
-
Применение и описание
Область и условия применения:
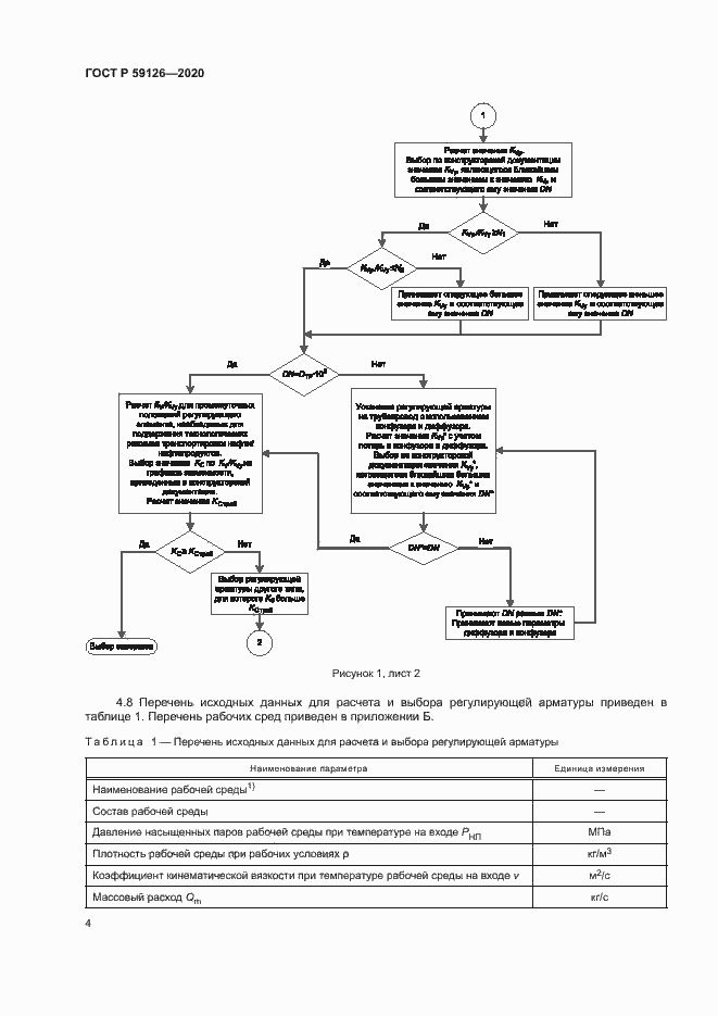
Настоящий стандарт распространяется на регулирующую арматуру различного типа, предназначенную для эксплуатации в системах автоматического регулирования на объектах магистрального трубопровода для транспортировки нефти и нефтепродуктов. Настоящий стандарт устанавливает методику расчета требуемых гидравлических и кавитационных характеристик регулирующей арматуры
Связи и замены
Заменяющий:
-
Описание стандарта
ГОСТ Р 59126-2020 Магистральный трубопроводный транспорт нефти и нефтепродуктов. Арматура трубопроводная. Методика расчета требуемых гидравлических и кавитационных характеристик арматуры регулирующей для выбора в системы автоматического регулирования
Страницы стандарта


















