ГОСТ 33967-2016 Насосы центробежные для перекачивания вязких жидкостей. Поправки к рабочим характеристикам
ГОСТ
Скачать ГОСТ в PDF или DOC бесплатно
Основная информация
Обозначение:
ГОСТ 33967-2016
Статус:
Действует
Тип:
ГОСТ
Название русское:
Насосы центробежные для перекачивания вязких жидкостей. Поправки к рабочим характеристикам
Название английское:
Centrifugal pumps pumping viscous liquids. Corrections for operating characteristics
Даты и сроки
Дата регистрации:
09-25-16
Дата издания:
07-18-17
Дата введения в действие:
01-01-18
Дата завершения срока действия:
-
Применение и описание
Область и условия применения:
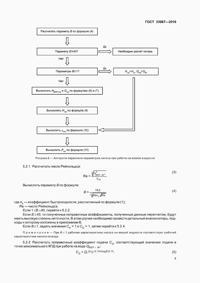
Настоящий стандарт устанавливает порядок пересчета значений рабочих характеристик, полученных при работе на воде в предпочтительном рабочем диапазоне одноступенчатых и многоступенчатых центробежных насосов типовых конструкций с одно- и двухсторонним входом, на вязкие (ньютоновские) жидкости со следующими ограничениями: кинематическая вязкость жидкости, на которую производится пересчет, составляет от 1 до 3000 сСт; при работе насоса на воде в точке максимального КПД: подача QBEP-W составляет от 0,6 до 260 м3/ч; коэффициент быстроходности ступени насоса nq ? 60 (ns ? 219); напор на ступень HBEP-W составляет 3–130 м. Настоящий стандарт не применим: - к осевым насосам и насосам со специфическими конструктивными особенностями (дополнительная информация приведена в приложении В); - в случае если значение NPSHA превышает значение NPSHR на величину, недостаточную для компенсации увеличения NPSHR при увеличении вязкости; - при работе насоса на неньютоновских жидкостях (гели, пульпа и пр.)
Связи и замены
Заменяющий:
-
Описание стандарта
ГОСТ 33967-2016 Насосы центробежные для перекачивания вязких жидкостей. Поправки к рабочим характеристикам
Страницы стандарта






















