ГОСТ 19753-84 Концевая часть затворов соединений с конической металлической прокладкой. Конструкция и размеры
ГОСТ
Скачать ГОСТ в PDF или DOC бесплатно
Основная информация
Обозначение:
ГОСТ 19753-84
Статус:
Действует
Тип:
ГОСТ
Название русское:
Концевая часть затворов соединений с конической металлической прокладкой. Конструкция и размеры
Название английское:
Conical metal gasket joint gate end part. Design and dimensions
Даты и сроки
Дата издания:
11-01-85
Дата введения в действие:
06-30-85
Дата завершения срока действия:
-
Применение и описание
Область и условия применения:
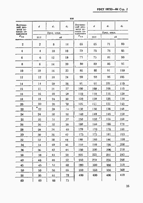
Настоящий стандарт распространяется на концевую часть закрытых затворов соединений с конической металлической прокладкой
Связи и замены
Заменяющий:
-
Взамен:
ГОСТ 19753-74
Изменения и переиздания
Список изменений:
№1 от (рег. ) «Срок действия продлен»
Описание стандарта
ГОСТ 19753-84 Концевая часть затворов соединений с конической металлической прокладкой. Конструкция и размеры
Страницы стандарта





