ГОСТ 25553-82 Гидроцилиндры одноступенчатые на номинальное давление 16 МПа (160 кгс/см кв.). Присоединительные резьбы штоков и плунжеров
ГОСТ
Скачать ГОСТ в PDF или DOC бесплатно
Основная информация
Обозначение:
ГОСТ 25553-82
Статус:
Действует только в РФ
Тип:
ГОСТ
Название русское:
Гидроцилиндры одноступенчатые на номинальное давление 16 МПа (160 кгс/см кв.). Присоединительные резьбы штоков и плунжеров
Название английское:
One stage hydraulic cylinders at nominal pressure 16 MPa. Connected threades of rods and plungers
Даты и сроки
Дата издания:
02-24-83
Дата введения в действие:
07-01-83
Дата завершения срока действия:
-
Применение и описание
Область и условия применения:
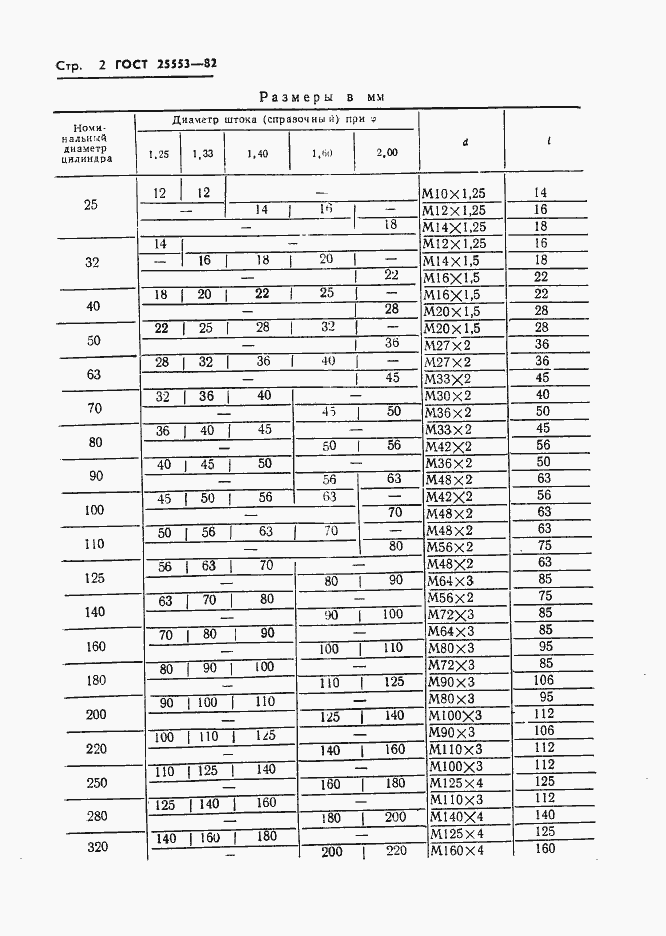
Настоящий стандарт распространяется на одноступенчатые гидроцилиндры общемашиностроительного применения одно- и двустороннего действия на номинальное давление 16 МПа (160 кгс/см кв.) с соотношением рабочих площадей поршня фи 1,25; 1,33; 1,4; 1,6 и 2,0 и устанавливает размеры присоединительных резьб штоков и плунжеров
Связи и замены
Заменяющий:
-
Изменения и переиздания
Список изменений:
№0 от (рег. ) «Отменен» №1 от (рег. ) «Срок действия продлен»
Описание стандарта
ГОСТ 25553-82 Гидроцилиндры одноступенчатые на номинальное давление 16 МПа (160 кгс/см кв.). Присоединительные резьбы штоков и плунжеров
Страницы стандарта






