ГОСТ 26058-85 Роботы промышленные. Гидродвигатели исполнительных устройств. Типы, основные параметры и присоединительные размеры
ГОСТ
Скачать ГОСТ в PDF или DOC бесплатно
Основная информация
Обозначение:
ГОСТ 26058-85
Статус:
Действует
Тип:
ГОСТ
Название русское:
Роботы промышленные. Гидродвигатели исполнительных устройств. Типы, основные параметры и присоединительные размеры
Название английское:
Industrial robots. Hydraulic motors of actuating mechanisms. Types, basic parameters and mounting dimensions
Даты и сроки
Дата издания:
08-23-85
Дата введения в действие:
01-01-86
Дата завершения срока действия:
-
Применение и описание
Область и условия применения:
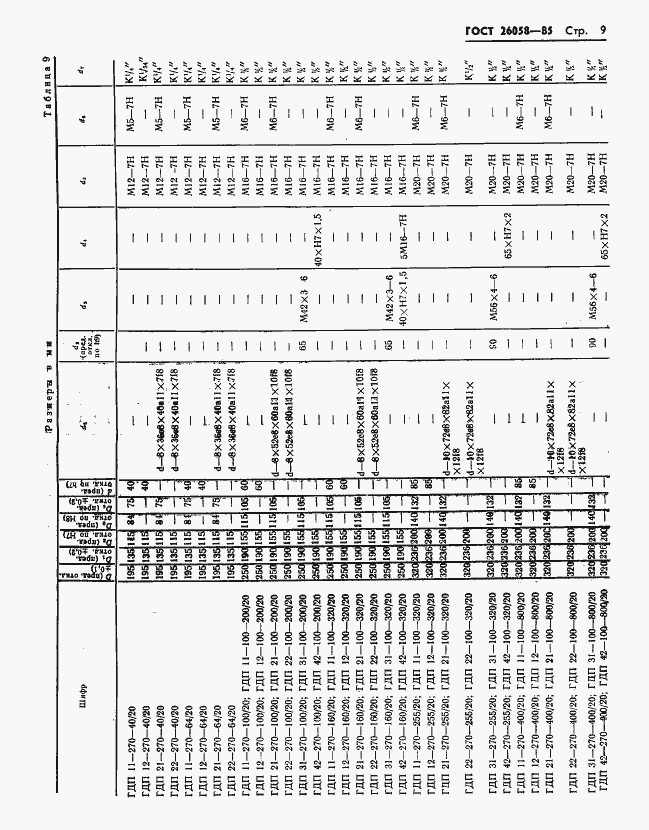
Настоящий стандарт распространяется на гидроцилиндры двухстороннего действия с односторонним штоком на номинальное давление 16 МПа, линейные электрогидравлические шаговые приводы, поворотные гидродвигатели, электрогидравлические шаговые приводы (гидроусилители крутящих моментов с шаговым двигателем), предназначенные для объемных гидроприводов исполнительных устройств промышленных роботов и других машин, работающих на минеральных маслах с кинематической вязкостью от 12 до 400 мм кв./с и температурой от 0 до 60 град. С класса чистоты не грубее 13-го по ГОСТ 17216-71. Настоящий стандарт не распространяется на специальные типы гидродвигателей, используемых в промышленных роботах и других машинах
Связи и замены
Заменяющий:
-
Взамен:
ГОСТ 26058-83
Изменения и переиздания
Список изменений:
№1 от (рег. ) «Срок действия продлен»
Описание стандарта
ГОСТ 26058-85 Роботы промышленные. Гидродвигатели исполнительных устройств. Типы, основные параметры и присоединительные размеры
Страницы стандарта


















