ГОСТ Р 56214-2014 Качество данных. Часть 1. Обзор
ГОСТ Р
Скачать ГОСТ в PDF или DOC бесплатно
Основная информация
Обозначение:
ГОСТ Р 56214-2014
Статус:
Действует
Тип:
ГОСТ Р
Название русское:
Качество данных. Часть 1. Обзор
Название английское:
Data qulity. Part 1. Overview
Даты и сроки
Дата издания:
01-17-19
Дата введения в действие:
07-01-15
Дата завершения срока действия:
-
Применение и описание
Область и условия применения:
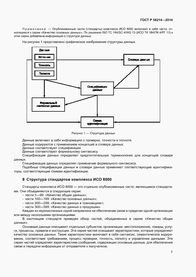
Настоящий стандарт включает в себя обзор стандартов комплекса ИСО 8000. Стандарт распространяется: - на изложение общих вопросов применения стандартов комплекса ИСО 8000; - введение к теме - данные; - принципы качества данных; - формирование данных в стандартах комплекса ИСО 8000; - описание структуры стандартов комплекса ИСО 8000; - итоговая информация о содержании других частей ИСО 8000; - взаимосвязь комплекса стандартов ИСО 8000 с другими стандартами. Настоящий стандарт не распространяется на характеристики качества и требования к данным общего характера или к специальным данным
Связи и замены
Заменяющий:
-
Взамен:
ГОСТ Р ИСО/ТС 8000-1-2009
Описание стандарта
ГОСТ Р 56214-2014 Качество данных. Часть 1. Обзор
Страницы стандарта











