ГОСТ Р 56271-2014 Системы промышленной автоматизации и интеграция. Интеграция данных жизненного цикла перерабатывающих предприятий, включая нефтяные и газовые производственные предприятия. Часть 7. Практические методы интеграции распределенных систем: методология шаблонов
ГОСТ Р
Скачать ГОСТ в PDF или DOC бесплатно
Основная информация
Обозначение:
ГОСТ Р 56271-2014
Статус:
Действует
Тип:
ГОСТ Р
Название русское:
Системы промышленной автоматизации и интеграция. Интеграция данных жизненного цикла перерабатывающих предприятий, включая нефтяные и газовые производственные предприятия. Часть 7. Практические методы интеграции распределенных систем: методология шаблонов
Название английское:
Industrial automation systems and integration. Integration of life-cycle data for process plants including oil and gas production facilities. Part 7. Implementation methods for the integration of distributed systems. Template methodology
Даты и сроки
Дата издания:
05-20-20
Дата введения в действие:
01-01-16
Дата завершения срока действия:
-
Применение и описание
Область и условия применения:
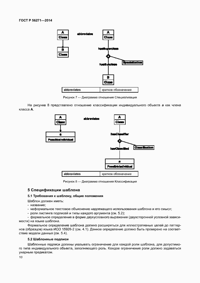
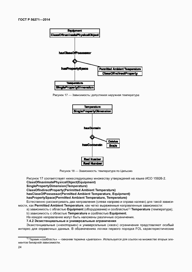
Настоящий стандарт содержит описание процедуры обмена данными и интеграции информации о жизненном цикле с помощью шаблонов, основанных на модели данных ИСО 15926-2. Настоящий стандарт устанавливает методологию интеграции данных об онтологиях с помощью математической логики первого порядка, что позволяет сделать данную топологию независимой от компьютерных языков. Настоящий стандарт распространяется на: - представление модели языка EXPRESS ИСО 15926-2 в формальной логике; - критерии определений шаблонов; - методы расширения и проверки шаблонов; - начальное множество определений шаблонов. Настоящий стандарт не распространяется на: - практическую реализацию на компьютерно-представимых языках;хранение и получение данных; - безопасность данных
Связи и замены
Заменяющий:
-
Описание стандарта
ГОСТ Р 56271-2014 Системы промышленной автоматизации и интеграция. Интеграция данных жизненного цикла перерабатывающих предприятий, включая нефтяные и газовые производственные предприятия. Часть 7. Практические методы интеграции распределенных систем: методология шаблонов
Страницы стандарта



































































































