ГОСТ Р ИСО 20242-3-2012 Системы промышленной автоматизации и интеграция. Служебный интерфейс для испытательных прикладных программ. Часть 3. Служебный интерфейс виртуального устройства
ГОСТ Р ИСО
Скачать ГОСТ в PDF или DOC бесплатно
Основная информация
Обозначение:
ГОСТ Р ИСО 20242-3-2012
Статус:
Действует
Тип:
ГОСТ Р ИСО
Название русское:
Системы промышленной автоматизации и интеграция. Служебный интерфейс для испытательных прикладных программ. Часть 3. Служебный интерфейс виртуального устройства
Название английское:
Industrial automation systems and integration. Service interface for testing applications. Part 3. Virtual device service nterface
Даты и сроки
Дата издания:
06-29-20
Дата введения в действие:
01-01-14
Дата завершения срока действия:
-
Применение и описание
Область и условия применения:
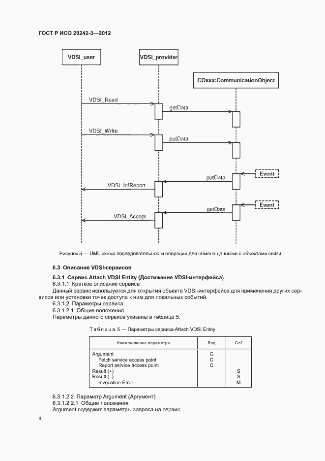
В настоящем стандарте установлен служебный интерфейс, предназначенный для связи с виртуальными устройствами, обладающими функциональными возможностями программных модулей и физических устройств, доступ к которым осуществляется с помощью сервисов управления ресурсами согласно ИСО 20242-2
Связи и замены
Заменяющий:
-
Описание стандарта
ГОСТ Р ИСО 20242-3-2012 Системы промышленной автоматизации и интеграция. Служебный интерфейс для испытательных прикладных программ. Часть 3. Служебный интерфейс виртуального устройства
Страницы стандарта













































