ГОСТ Р МЭК 62264-3-2012 Интеграция систем управления предприятием. Часть 3. Рабочая модель управления технологическими операциями
ГОСТ Р МЭК
Скачать ГОСТ в PDF или DOC бесплатно
Основная информация
Обозначение:
ГОСТ Р МЭК 62264-3-2012
Статус:
Действует
Тип:
ГОСТ Р МЭК
Название русское:
Интеграция систем управления предприятием. Часть 3. Рабочая модель управления технологическими операциями
Название английское:
Enterprise-control system integration. Part 3. Activity model of manufacturing operations management
Даты и сроки
Дата издания:
11-11-20
Дата введения в действие:
01-01-14
Дата завершения срока действия:
-
Применение и описание
Область и условия применения:
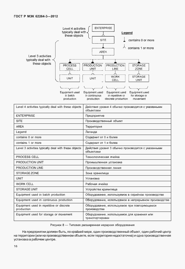
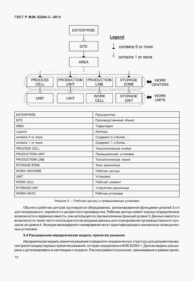
Настоящий стандарт определяет рабочую модель управления производственными операциями, которая инициирует работу системы управления предприятием, координирующей процесс интеграции. Мероприятия, определенные в настоящем стандарте, соответствуют определениям модели объекта, данным в МЭК 62264-1. Моделируемые действия относятся к бизнес-планированию и логистическим функциям (определенным как функции уровня 4), а также функциям процесса управления (определенным в МЭК 62264-1 как функции уровня 2). Настоящий стандарт распространяется на:- модель действий, ассоциированную с управлением производственными операциями (функции уровня 3);- идентификацию данных, которыми обмениваются между действиями уровня 3.
Связи и замены
Заменяющий:
-
Описание стандарта
ГОСТ Р МЭК 62264-3-2012 Интеграция систем управления предприятием. Часть 3. Рабочая модель управления технологическими операциями
Страницы стандарта




























































































































