ГОСТ Р 55345-2012 Системы промышленной автоматизации и интеграция. Интеграция промышленных данных для их обмена, обеспечения доступа и коллективного использования. Часть 2. Интеграция и методология отображения
ГОСТ Р
Скачать ГОСТ в PDF или DOC бесплатно
Основная информация
Обозначение:
ГОСТ Р 55345-2012
Статус:
Действует
Тип:
ГОСТ Р
Название русское:
Системы промышленной автоматизации и интеграция. Интеграция промышленных данных для их обмена, обеспечения доступа и коллективного использования. Часть 2. Интеграция и методология отображения
Название английское:
Industrial automation systems and integration. Integration of industrial data for exchange, access and sharing. Part 2. Integration and mapping methodology
Даты и сроки
Дата издания:
11-02-20
Дата введения в действие:
01-01-14
Дата завершения срока действия:
-
Применение и описание
Область и условия применения:
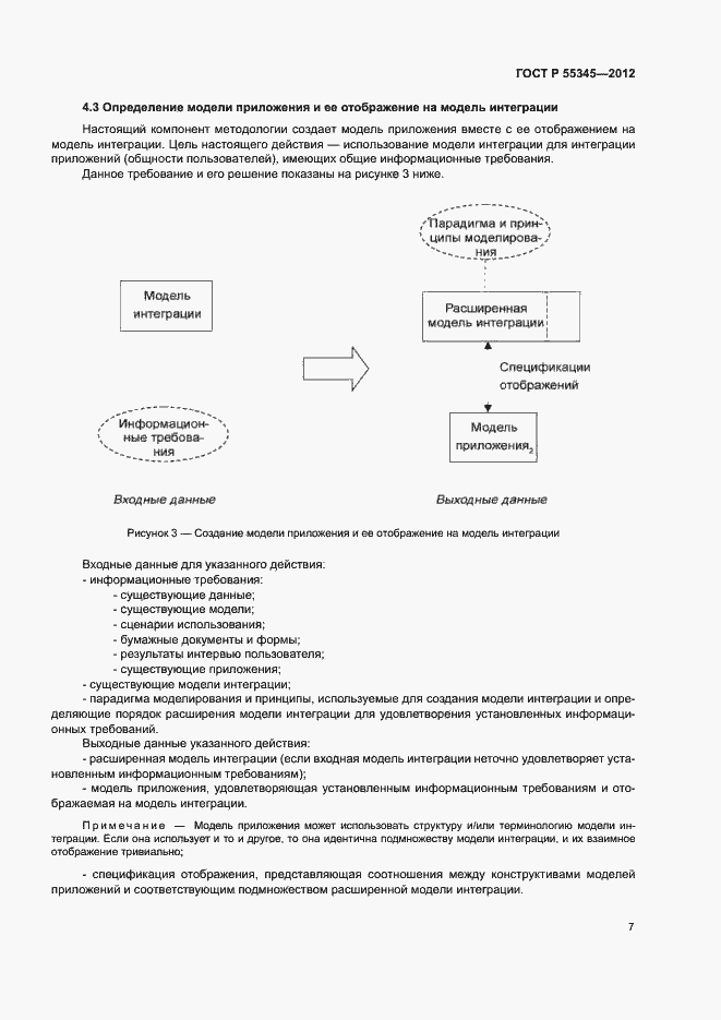
Настоящий стандарт определяет архитектуру, методологию и другие спецификации для интеграции промышленных данных с целью их обмена, организации доступа и коллективного использования. Настоящий стандарт распространяется на: - интеграцию данных, которые могут быть: - взяты из различных источников для различного контекста модели, - описаны различными моделями; - определены на различных языках моделирования; - коллективное использование данных различными приложениями с помощью архитектуры системы интеграции; - разрешение конфликтов между моделями, разработанными с различными целями; - транслирование данных из одной системы кодирования в другую;транслирование модели с одного языка моделирования на другой
Связи и замены
Заменяющий:
-
Описание стандарта
ГОСТ Р 55345-2012 Системы промышленной автоматизации и интеграция. Интеграция промышленных данных для их обмена, обеспечения доступа и коллективного использования. Часть 2. Интеграция и методология отображения
Страницы стандарта












































