ГОСТ Р ИСО 15745-1-2010 Системы промышленной автоматизации и интеграция. Прикладная интеграционная среда открытых систем. Часть 1. Общее эталонное описание
ГОСТ Р ИСО
Скачать ГОСТ в PDF или DOC бесплатно
Основная информация
Обозначение:
ГОСТ Р ИСО 15745-1-2010
Статус:
Заменен
Тип:
ГОСТ Р ИСО
Название русское:
Системы промышленной автоматизации и интеграция. Прикладная интеграционная среда открытых систем. Часть 1. Общее эталонное описание
Название английское:
Industrial automation systems and integration. Open systems application integration framework. Part 1. Generic reference description
Даты и сроки
Дата издания:
04-07-14
Дата введения в действие:
09-01-11
Дата завершения срока действия:
01-01-16
Применение и описание
Область и условия применения:
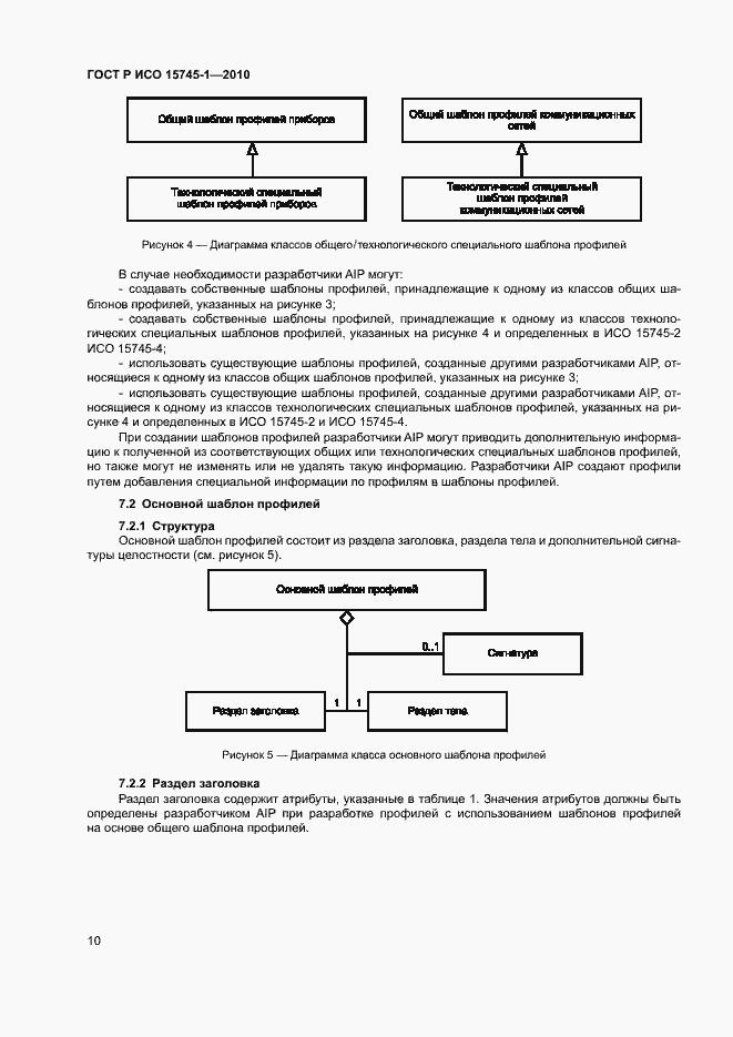
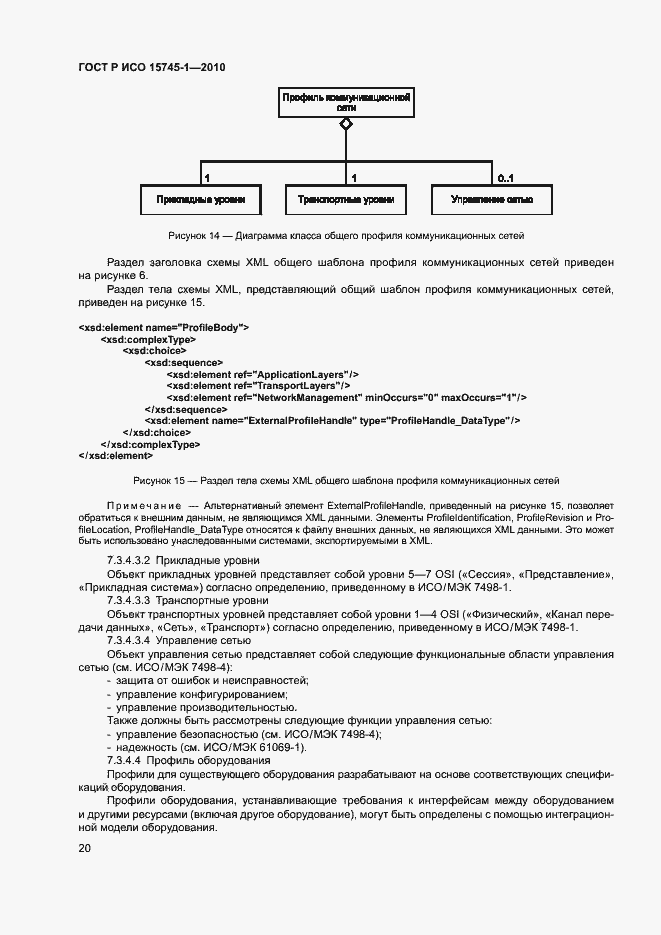
Настоящий стандарт распространяется на прикладную интеграционную среду – набор элементов и правил описания интеграционных моделей и профилей интероперабельности прикладных систем. Стандарт устанавливает общие элементы и правила описания интеграционных моделей и профилей интероперабельности прикладных систем вместе с профилями их компонентов, включающими в себя профили процессов, обмена информацией и ресурсов. Настоящий стандарт распространяется на системы промышленной автоматизации, процесс сборки электронной аппаратуры, изготовление полупроводников и транспортирование материалов. Его следует использовать также в случае других применений автоматизации и управления, таких как автоматизация коммунальных предприятий, сельского хозяйства, внедорожных транспортных средств, медицинских учреждений и лабораторий, а также системы общественного транспорта
Связи и замены
Заменяющий:
ГОСТ Р ИСО 15745-1-2014
Описание стандарта
ГОСТ Р ИСО 15745-1-2010 Системы промышленной автоматизации и интеграция. Прикладная интеграционная среда открытых систем. Часть 1. Общее эталонное описание
Страницы стандарта


































