ГОСТ Р МЭК 61069-5-2012 Измерение и управление промышленным процессом. Определение свойств системы с целью ее оценки. Часть 5. Оценка надежности системы
ГОСТ Р МЭК
Скачать ГОСТ в PDF или DOC бесплатно
Основная информация
Обозначение:
ГОСТ Р МЭК 61069-5-2012
Статус:
Заменен
Тип:
ГОСТ Р МЭК
Название русское:
Измерение и управление промышленным процессом. Определение свойств системы с целью ее оценки. Часть 5. Оценка надежности системы
Название английское:
Industrial process measurement and control. Evaluation of system properties for the purpose of system assessment. Part 5. Assessment of system dependability
Даты и сроки
Дата издания:
09-01-14
Дата введения в действие:
07-01-14
Дата завершения срока действия:
09-01-18
Применение и описание
Область и условия применения:
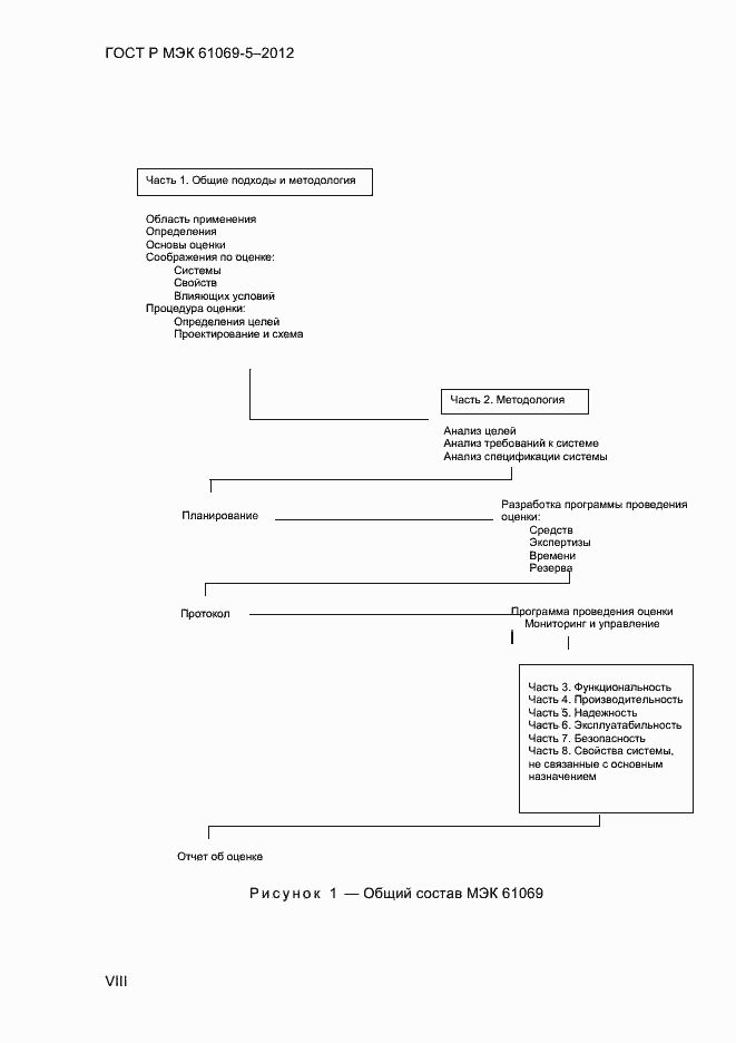
В настоящем стандарте изложен метод, используемый для системетической оценки характеристик систем измерения и управления промышленным процессом. Детальная оценка методологии, представленная в МЭК 61069-2, применима для разработки программы оценки надежности. В настоящем стандарте анализируют вспомогательные свойства надежности и описывают критерии, принимаемые во внимание при оценке надежности
Связи и замены
Заменяющий:
ГОСТ Р МЭК 61069-5-2017
Описание стандарта
ГОСТ Р МЭК 61069-5-2012 Измерение и управление промышленным процессом. Определение свойств системы с целью ее оценки. Часть 5. Оценка надежности системы
Страницы стандарта













































