ГОСТ Р 56213.20-2014 Системы промышленной автоматизации и интеграция. Обмен данными характеристик. Часть 20. Услуги по осуществлению поиска информации в словаре концепций
ГОСТ Р
Скачать ГОСТ в PDF или DOC бесплатно
Основная информация
Обозначение:
ГОСТ Р 56213.20-2014
Статус:
Действует
Тип:
ГОСТ Р
Название русское:
Системы промышленной автоматизации и интеграция. Обмен данными характеристик. Часть 20. Услуги по осуществлению поиска информации в словаре концепций
Название английское:
Industrial automation systems and integration. Exchange of characteristic data. Part 20. Concept dictionary resolution services
Даты и сроки
Дата издания:
04-03-20
Дата введения в действие:
07-01-15
Дата завершения срока действия:
-
Применение и описание
Область и условия применения:
Настоящий стандарт устанавливает требования к интерфейсу, с помощью которого осуществляется поиск информации в словаре концепций. Можно отыскать терминологическую и онтологическую информация, а также найти нужную концепцию. Интерфейс может быть определен как совокупность услуг по осуществлению поиска информации в словаре концепций (CDRS). Услуги достаточно абстрактны и это позволяет устанавливать различные связи и увязка, такие, как например, язык описания интернет услуг (WSDL) с протоколом доступа к простому объекту (SOAP). Всем услугам при реализации требуются соответствующие средства обеспечения
Связи и замены
Заменяющий:
-
Изменения и переиздания
Список изменений:
№0 от (рег. ) «Дата введения перенесена»
Описание стандарта
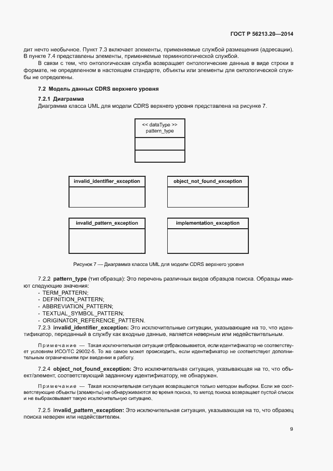
ГОСТ Р 56213.20-2014 Системы промышленной автоматизации и интеграция. Обмен данными характеристик. Часть 20. Услуги по осуществлению поиска информации в словаре концепций
Страницы стандарта










































Приложение №1: Поправка к ГОСТ Р 56213.20-2014 Обозначение: Поправка к ГОСТ Р 56213.20-2014 Дата введения в действие: 01.06.2015
