ГОСТ Р 56213.31-2014 Системы промышленной автоматизации и интеграция. Обмен данными характеристик. Часть 31. Запрос на данные характеристик
ГОСТ Р
Скачать ГОСТ в PDF или DOC бесплатно
Основная информация
Обозначение:
ГОСТ Р 56213.31-2014
Статус:
Действует
Тип:
ГОСТ Р
Название русское:
Системы промышленной автоматизации и интеграция. Обмен данными характеристик. Часть 31. Запрос на данные характеристик
Название английское:
Industrial automation systems and integration. Exchange of characteristic data. Part 31. Query for characteristic data
Даты и сроки
Дата издания:
04-06-20
Дата введения в действие:
07-01-15
Дата завершения срока действия:
-
Применение и описание
Область и условия применения:
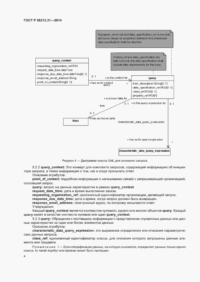
Настоящий стандарт определяет концептуальную информационную модель и формат файла обмена информацией для запроса данных характеристик на продукцию и услуги, а также на данные по идентификации поставщиков продукции в системе UML. Физический формат файла основывается на XML Настоящий стандарт распространяется на: - запрос на данные характеристик изделий и элементов, имеющих идентификацию, назначенную поставщиком; - запрос на идентификацию, назначенную поставщиком таким изделиям и элементам, которые имеют целый набор данных характеристик; - запрос на данные характеристик и на идентификацию, назначенную поставщиком таким изделиям, которые соответствуют условиям поиска информации; - запрос на недостающие данные характеристик
Связи и замены
Заменяющий:
-
Описание стандарта
ГОСТ Р 56213.31-2014 Системы промышленной автоматизации и интеграция. Обмен данными характеристик. Часть 31. Запрос на данные характеристик
Страницы стандарта



























