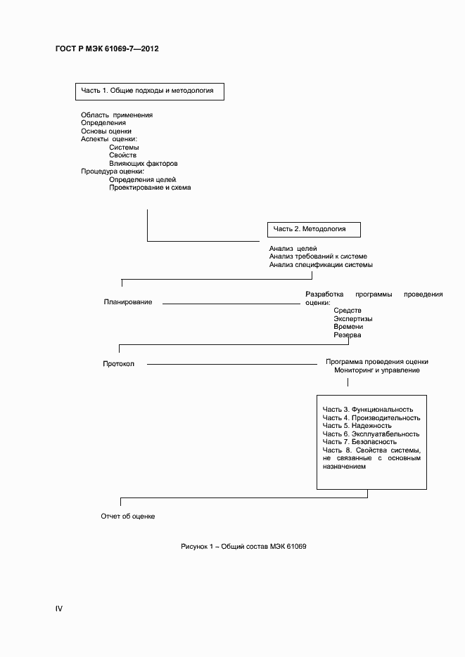
ГОСТ Р МЭК 61069-7-2012 Измерение и управление промышленным процессом. Определение свойств системы с целью ее оценки. Часть 7. Оценка безопасности системы
ГОСТ Р МЭК
Скачать ГОСТ в PDF или DOC бесплатно
Основная информация
Обозначение:
ГОСТ Р МЭК 61069-7-2012
Статус:
Заменен
Тип:
ГОСТ Р МЭК
Название русское:
Измерение и управление промышленным процессом. Определение свойств системы с целью ее оценки. Часть 7. Оценка безопасности системы
Название английское:
Industrial process measurement and control. Evaluation of system properties for the purpose of system assessment. Part 7. Assessment of system safety
Даты и сроки
Дата издания:
09-01-14
Дата введения в действие:
07-01-14
Дата завершения срока действия:
09-01-18
Применение и описание
Область и условия применения:
В настоящем стандарте подробно описан метод, используемый для систематического оценивания свойств безопасности системы измерения и управления промышленным процессом. Трактовка безопасности в стандарте ограничена теми опасностями, которые могут возникать непосредственно в границах самой системы. Рассмотрение опасностей, которые могут быть обусловлены процессом или оборудованием, находящимся под управлением системы, которая будет оцениваться, не входит в область применения настоящего стандарта
Связи и замены
Заменяющий:
ГОСТ Р МЭК 61069-7-2017
Описание стандарта
ГОСТ Р МЭК 61069-7-2012 Измерение и управление промышленным процессом. Определение свойств системы с целью ее оценки. Часть 7. Оценка безопасности системы
Страницы стандарта















