ГОСТ Р МЭК 61069-8-2012 Измерение и управление промышленным процессом. Определение свойств системы с целью ее оценки. Часть 8. Оценка свойств системы, не связанных с ее основным назначением
ГОСТ Р МЭК
Скачать ГОСТ в PDF или DOC бесплатно
Основная информация
Обозначение:
ГОСТ Р МЭК 61069-8-2012
Статус:
Заменен
Тип:
ГОСТ Р МЭК
Название русское:
Измерение и управление промышленным процессом. Определение свойств системы с целью ее оценки. Часть 8. Оценка свойств системы, не связанных с ее основным назначением
Название английское:
Industrial-process measurement and control. Evaluation of system properties for the purpose of system assessment. Part 8. Assessment of non-task-related system properties
Даты и сроки
Дата издания:
09-01-14
Дата введения в действие:
07-01-14
Дата завершения срока действия:
09-01-18
Применение и описание
Область и условия применения:
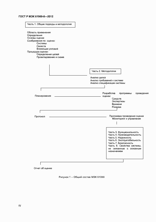
В настоящем стандарте рассмотрена оценка свойств систем измерения управления промышленным процессом, не связанных с ее назначением. Детальная методология оценки, представленная в МЭК 61069-2, применима для разработки программы оценки свойств, не связанных с назначением. В настоящем стандарте анализируют свойства и описывают критерии, принимаемые во внимание при оценке свойств, не связанных с назначением
Связи и замены
Заменяющий:
ГОСТ Р МЭК 61069-8-2017
Описание стандарта
ГОСТ Р МЭК 61069-8-2012 Измерение и управление промышленным процессом. Определение свойств системы с целью ее оценки. Часть 8. Оценка свойств системы, не связанных с ее основным назначением
Страницы стандарта























