ГОСТ Р ИСО 15745-2-2010 Системы промышленной автоматизации и интеграция. Прикладная интеграционная среда открытых систем. Часть 2. Эталонное описание систем управления на основе стандарта ИСО 11898
ГОСТ Р ИСО
Скачать ГОСТ в PDF или DOC бесплатно
Основная информация
Обозначение:
ГОСТ Р ИСО 15745-2-2010
Статус:
Действует
Тип:
ГОСТ Р ИСО
Название русское:
Системы промышленной автоматизации и интеграция. Прикладная интеграционная среда открытых систем. Часть 2. Эталонное описание систем управления на основе стандарта ИСО 11898
Название английское:
Industrial automation systems and integration. Open systems application integration framework. Part 2. Reference description for ISO 11898-based control system
Даты и сроки
Дата издания:
11-21-13
Дата введения в действие:
09-01-11
Дата завершения срока действия:
-
Применение и описание
Область и условия применения:
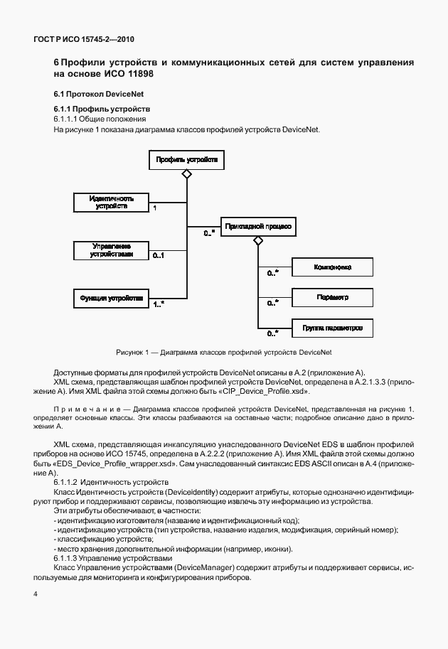
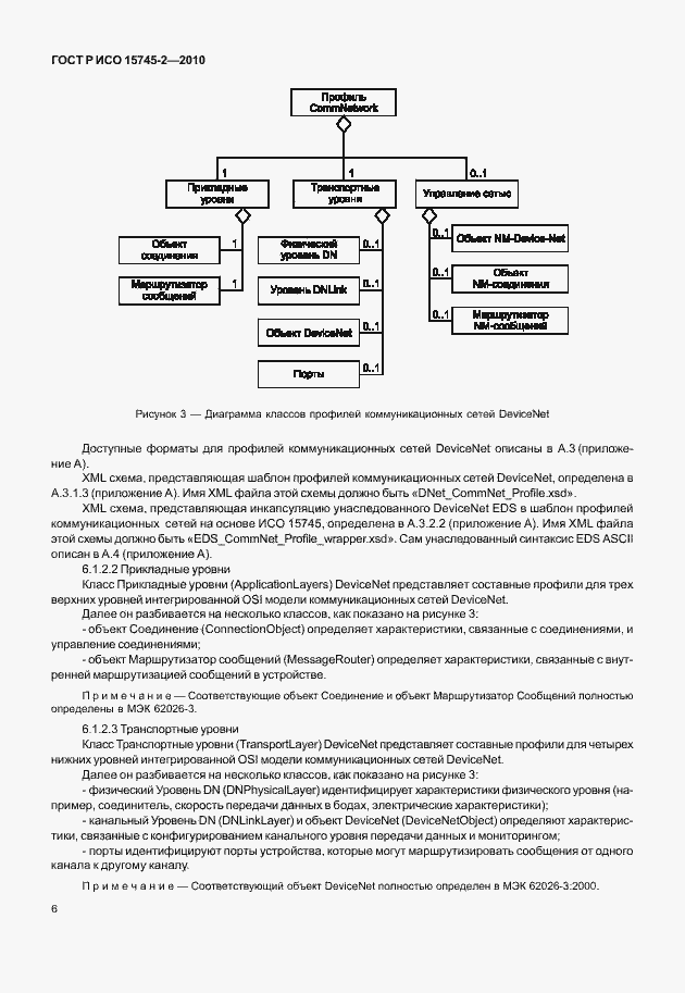
Настоящий стандарт устанавливает специальные технологические элементы и правила описания как профилей коммуникационных сетей, так и коммуникационных аспектов профилей устройств (приборов), относящихся к системам управления на основе ИСО 11898. Настоящий стандарт следует использовать вместе с ИСО 15745-1
Связи и замены
Заменяющий:
-
Описание стандарта
ГОСТ Р ИСО 15745-2-2010 Системы промышленной автоматизации и интеграция. Прикладная интеграционная среда открытых систем. Часть 2. Эталонное описание систем управления на основе стандарта ИСО 11898
Страницы стандарта














































































































































































