ГОСТ Р ИСО/ТС 10303-1022-2011 Системы автоматизации производства и их интеграция. Представление данных об изделии и обмен этими данными. Часть 1022. Прикладной модуль. Идентификация детали и ее версии
ГОСТ Р ИСО/ТС
Скачать ГОСТ в PDF или DOC бесплатно
Основная информация
Обозначение:
ГОСТ Р ИСО/ТС 10303-1022-2011
Статус:
Действует
Тип:
ГОСТ Р ИСО/ТС
Название русское:
Системы автоматизации производства и их интеграция. Представление данных об изделии и обмен этими данными. Часть 1022. Прикладной модуль. Идентификация детали и ее версии
Название английское:
Industrial automation systems and integration. Product data representation and exchange. Part 1022. Application module. Part and version identification
Даты и сроки
Дата издания:
02-04-19
Дата введения в действие:
08-01-12
Дата завершения срока действия:
-
Применение и описание
Область и условия применения:
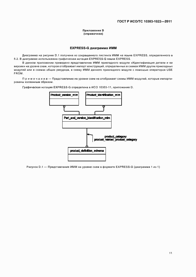
Настоящий стандарт определяет прикладной модуль «Идентификация детали и ее версии». Требования настоящего стандарта распространяются на: - идентификацию детали; - идентификацию несчетного материала; - идентификацию версии детали или несчетного материала; - объекты, относящиеся к области применения прикладного модуля «Идентификация изделия», определенного в ИСО/ТС 10303-1017; - объекты, относящиеся к области применения прикладного модуля «Версия изделия», определенного в ИСО/ТС 10303-1018
Связи и замены
Заменяющий:
-
Описание стандарта
ГОСТ Р ИСО/ТС 10303-1022-2011 Системы автоматизации производства и их интеграция. Представление данных об изделии и обмен этими данными. Часть 1022. Прикладной модуль. Идентификация детали и ее версии
Страницы стандарта



















