ГОСТ Р МЭК 61511-3-2011 Безопасность функциональная. Системы безопасности приборные для промышленных процессов. Часть 3. Руководство по определению требуемых уровней полноты безопасности
ГОСТ Р МЭК
Скачать ГОСТ в PDF или DOC бесплатно
Основная информация
Обозначение:
ГОСТ Р МЭК 61511-3-2011
Статус:
Заменен
Тип:
ГОСТ Р МЭК
Название русское:
Безопасность функциональная. Системы безопасности приборные для промышленных процессов. Часть 3. Руководство по определению требуемых уровней полноты безопасности
Название английское:
Functional safety. Safety instrumented systems for the process industry sector. Part 3. Guidelines for the determination of the required safety integrity levels
Даты и сроки
Дата издания:
11-22-12
Дата введения в действие:
08-01-12
Дата завершения срока действия:
07-01-19
Применение и описание
Область и условия применения:
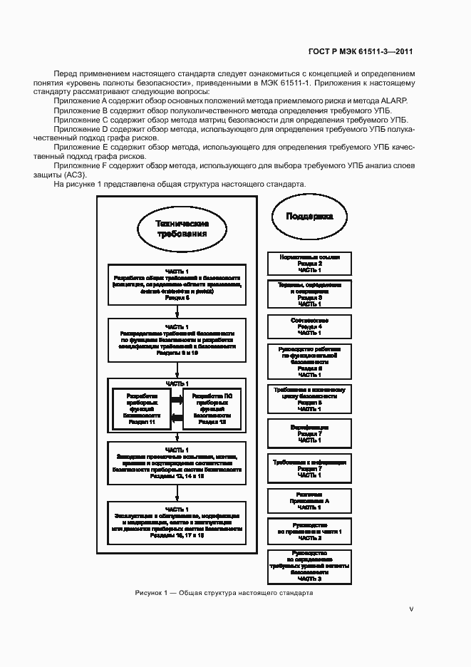
Настоящий стандарт содержит: - основные положения концепции риска и описание отношения между риском и полнотой безопасности; - определение допустимого риска; - описание различных методов, позволяющих определить уровень полноты безопасности для функций безопасности приборных систем безопасности
Связи и замены
Заменяющий:
ГОСТ Р МЭК 61511-3-2018
Описание стандарта
ГОСТ Р МЭК 61511-3-2011 Безопасность функциональная. Системы безопасности приборные для промышленных процессов. Часть 3. Руководство по определению требуемых уровней полноты безопасности
Страницы стандарта













































