ГОСТ Р ИСО/ТС 22745-30-2009 Системы промышленной автоматизации и их интеграция. Открытые технические словари и их применение к основным данным. Часть 30. Представление руководства по идентификации
ГОСТ Р ИСО/ТС
Скачать ГОСТ в PDF или DOC бесплатно
Основная информация
Обозначение:
ГОСТ Р ИСО/ТС 22745-30-2009
Статус:
Отменен
Тип:
ГОСТ Р ИСО/ТС
Название русское:
Системы промышленной автоматизации и их интеграция. Открытые технические словари и их применение к основным данным. Часть 30. Представление руководства по идентификации
Название английское:
Industrial automation systems and integration. Open technical dictionaries and their application to master data. Part 30. Identification guide representation
Даты и сроки
Дата издания:
05-23-11
Дата введения в действие:
10-01-10
Дата завершения срока действия:
09-01-19
Применение и описание
Область и условия применения:
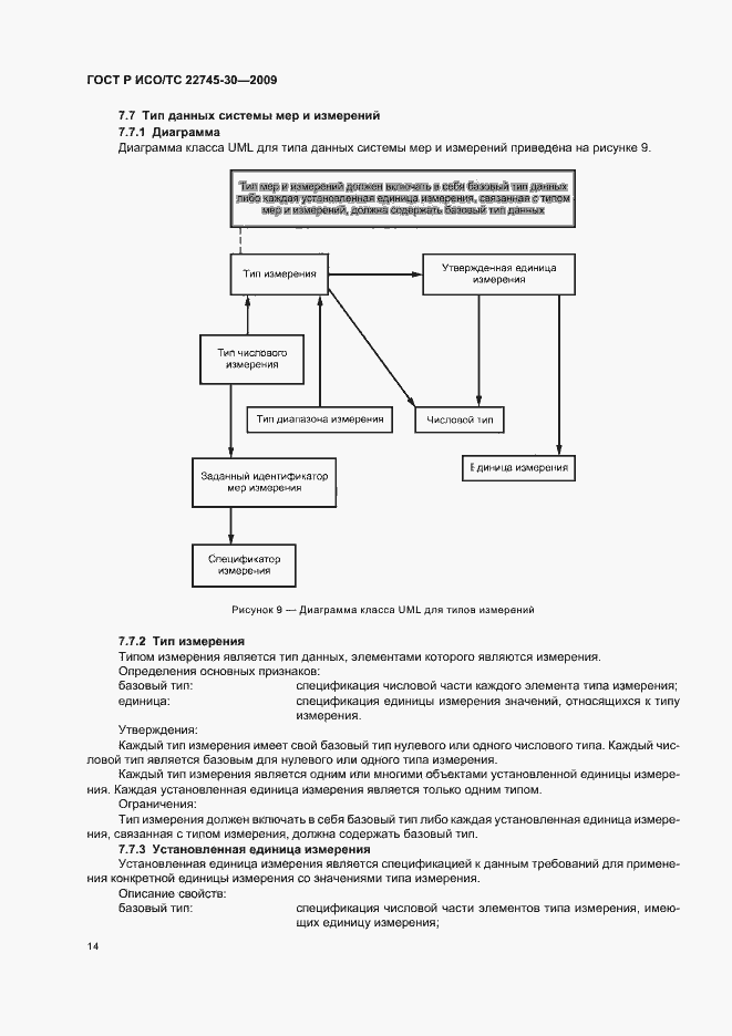
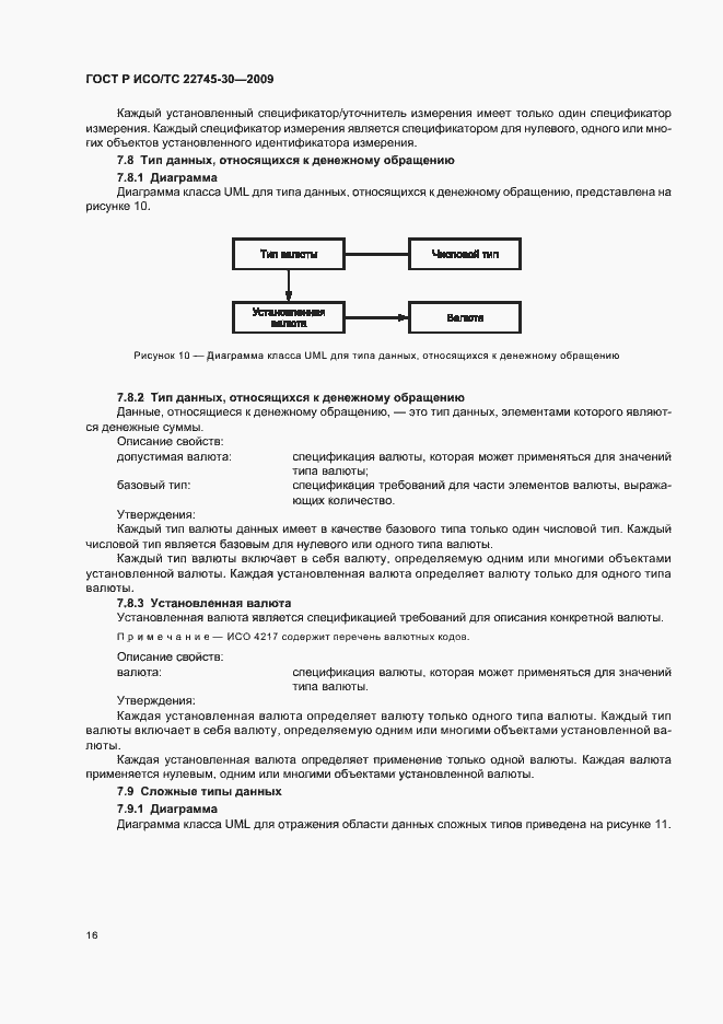
Настоящий стандарт устанавливает концептуальную информационную модель для руководств по идентификации, а также типы данных, необходимых для этих руководств. В настоящем стандарте также определена структура расширяемого языка разметки (XML), предназначенная для обмена руководствами по идентификации. Концептуальная модель относится к унифицированному языку моделирования (UML). В основе физического формата лежит XML. Настоящий стандарт распространяется на: - концептуальную модель для руководств по идентификации; - формат обмена для руководств по идентификации; - концептуальную модель и формат обмена для открытых технических словарей (OTD)
Связи и замены
Заменяющий:
-
Описание стандарта
ГОСТ Р ИСО/ТС 22745-30-2009 Системы промышленной автоматизации и их интеграция. Открытые технические словари и их применение к основным данным. Часть 30. Представление руководства по идентификации
Страницы стандарта



































