ГОСТ Р ИСО 10303-11-2009 Системы автоматизации производства и их интеграция. Представление данных об изделии и обмен этими данными. Часть 11. Методы описания. Справочное руководство по языку EXPRESS
ГОСТ Р ИСО
Скачать ГОСТ в PDF или DOC бесплатно
Основная информация
Обозначение:
ГОСТ Р ИСО 10303-11-2009
Статус:
Действует
Тип:
ГОСТ Р ИСО
Название русское:
Системы автоматизации производства и их интеграция. Представление данных об изделии и обмен этими данными. Часть 11. Методы описания. Справочное руководство по языку EXPRESS
Название английское:
Industrial automation systems and integration. Product data representation and exchange. Part 11. Description methods. The EXPRESS language reference manual
Даты и сроки
Дата издания:
11-02-10
Дата введения в действие:
07-01-10
Дата завершения срока действия:
-
Применение и описание
Область и условия применения:
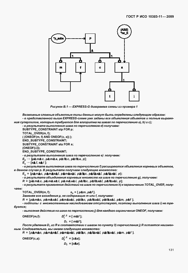
В настоящем стандарте определен язык, посредством которого могут быть описаны данные об изделии. Данный язык называется EXPRESS. В настоящем стандарте также определено графическое представление для подмножества конструкций языка EXPRESS. Данное графическое представление называется EXPRESS-G. EXPRESS является языком определения данных, как это установлено в ИСО 10303-1. Данный язык состоит из элементов, которые позволяют однозначно определять данные и устанавливать ограничения на эти данные. Область применения настоящего стандарта распространяется на: - типы данных; - ограничения на экземпляры типов данных. Область применения настоящего стандарта не распространяется на: - определение форматов баз данных; - определение форматов файлов; - определение форматов передачи; - управление процессами; - обработку информации; - обработку исключительных ситуаций. Язык EXPRESS не является языком программирования
Связи и замены
Заменяющий:
-
Взамен:
ГОСТ Р ИСО 10303-11-2000
Описание стандарта
ГОСТ Р ИСО 10303-11-2009 Системы автоматизации производства и их интеграция. Представление данных об изделии и обмен этими данными. Часть 11. Методы описания. Справочное руководство по языку EXPRESS
Страницы стандарта









































































































































































































