ГОСТ Р ИСО 15926-1-2008 Промышленные автоматизированные системы и интеграция. Интеграция данных жизненного цикла для перерабатывающих предприятий, включая нефтяные и газовые производственные предприятия. Часть 1. Обзор и основополагающие принципы
ГОСТ Р ИСО
Скачать ГОСТ в PDF или DOC бесплатно
Основная информация
Обозначение:
ГОСТ Р ИСО 15926-1-2008
Статус:
Действует
Тип:
ГОСТ Р ИСО
Название русское:
Промышленные автоматизированные системы и интеграция. Интеграция данных жизненного цикла для перерабатывающих предприятий, включая нефтяные и газовые производственные предприятия. Часть 1. Обзор и основополагающие принципы
Название английское:
Industrial automation systems and integration. Integration of life-cycle data for process plants including oil and gas production facilities. Part 1. Overview and fundamental principles
Даты и сроки
Дата издания:
01-21-19
Дата введения в действие:
01-01-10
Дата завершения срока действия:
-
Применение и описание
Область и условия применения:
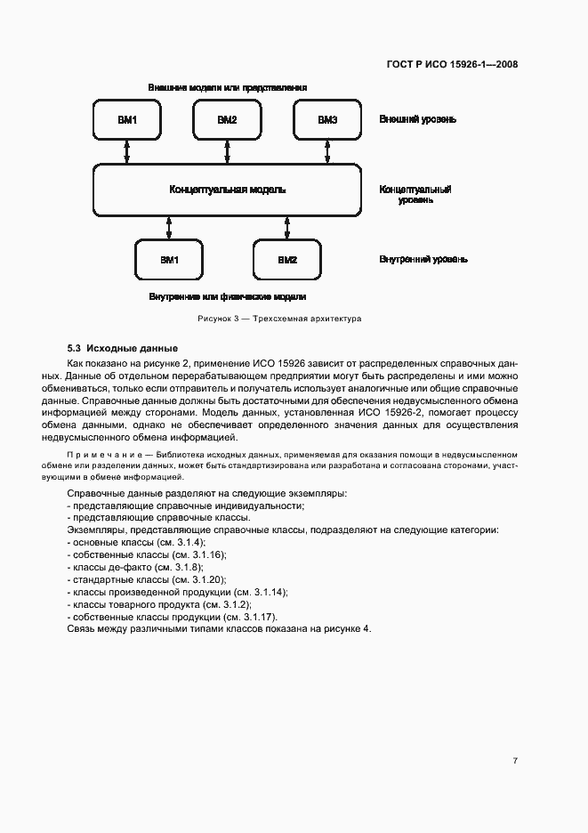
Настоящий стандарт применяют для предоставления информации, связанной с проектированием, строительством и эксплуатацией перерабатывающих предприятий. Настоящий стандарт устанавливает: - требования к информации перерабатывающих секторов промышленности на всех этапах жизненного цикла предприятия; - правила распределения и интеграции информации между сторонами, участвующими в жизненном цикле предприятия. Область применения настоящего стандарта распространяется на: - общую, концептуальную модель данных, подкрепляющую представление всех аспектов жизненного цикла перерабатывающего предприятия; - исходные данные, представляющие информацию общую для многих перерабатывающих предприятий и пользователей; - требования к области деятельности и информации по дополнительным исходным данным; - процедуры регистрации и ведения исходных данных; - шаблоны обмена данными, используемые в определенном контексте и их картографию к концептуальной модели данных; - методы разработки таких шаблонов и их картографию к концептуальной модели данных; - соответствие требованиям настоящего стандарта
Связи и замены
Заменяющий:
-
Описание стандарта
ГОСТ Р ИСО 15926-1-2008 Промышленные автоматизированные системы и интеграция. Интеграция данных жизненного цикла для перерабатывающих предприятий, включая нефтяные и газовые производственные предприятия. Часть 1. Обзор и основополагающие принципы
Страницы стандарта


















