ГОСТ Р ИСО/ТС 10303-1091-2009 Системы автоматизации производства и их интеграция. Представление данных об изделии и обмен этими данными. Часть 1091. Прикладной модуль. Математическое пространство
ГОСТ Р ИСО/ТС
Скачать ГОСТ в PDF или DOC бесплатно
Основная информация
Обозначение:
ГОСТ Р ИСО/ТС 10303-1091-2009
Статус:
Действует
Тип:
ГОСТ Р ИСО/ТС
Название русское:
Системы автоматизации производства и их интеграция. Представление данных об изделии и обмен этими данными. Часть 1091. Прикладной модуль. Математическое пространство
Название английское:
Industrial automation systems and integration. Product data representation and exchange. Part 1091. Application module. Mathematical space
Даты и сроки
Дата издания:
01-25-19
Дата введения в действие:
07-01-10
Дата завершения срока действия:
-
Применение и описание
Область и условия применения:
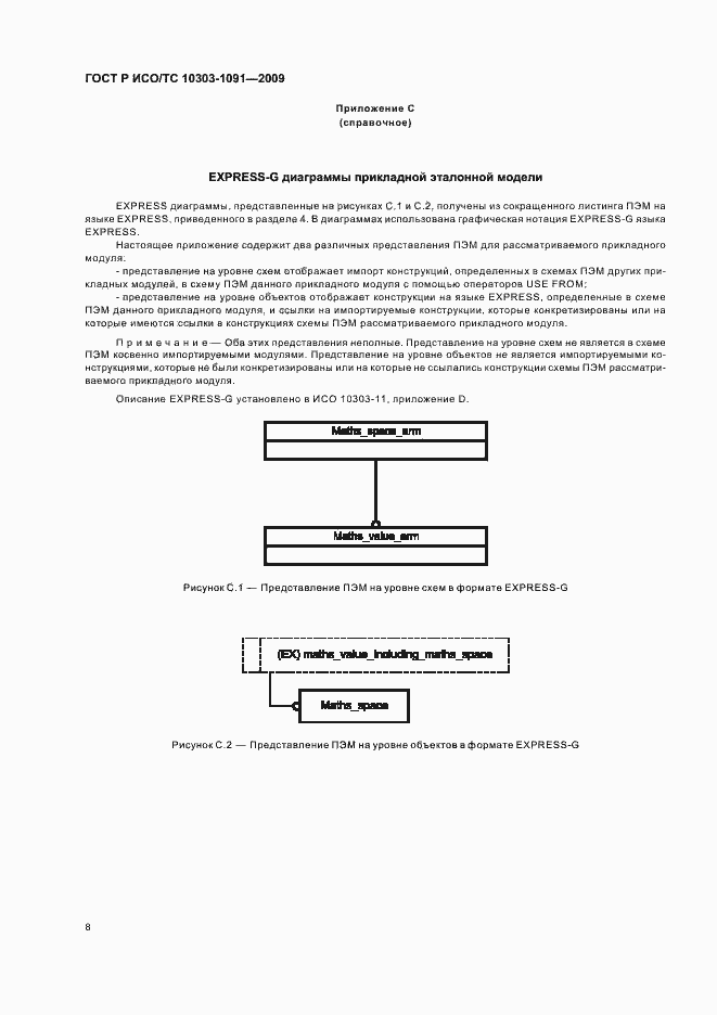
Настоящий стандарт определяет прикладной модуль «Математическое пространство». В область применения настоящего стандарта входят: - определение математического пространства в интервале действительных либо целых чисел; - определение конечного математического пространства перечислением его элементов. В область применения настоящего стандарта не входят: - связь между математическим пространством и пространством свойств, которое оно идентифицирует; - отдельное математическое значение, которое не является математическим пространством; - математические выражения; - математические функции
Связи и замены
Заменяющий:
-
Описание стандарта
ГОСТ Р ИСО/ТС 10303-1091-2009 Системы автоматизации производства и их интеграция. Представление данных об изделии и обмен этими данными. Часть 1091. Прикладной модуль. Математическое пространство
Страницы стандарта















