ГОСТ Р ИСО/ТС 10303-1092-2009 Системы автоматизации производства и их интеграция. Представление данных об изделии и обмен этими данными. Часть 1092. Прикладной модуль. Математическое значение
ГОСТ Р ИСО/ТС
Скачать ГОСТ в PDF или DOC бесплатно
Основная информация
Обозначение:
ГОСТ Р ИСО/ТС 10303-1092-2009
Статус:
Действует
Тип:
ГОСТ Р ИСО/ТС
Название русское:
Системы автоматизации производства и их интеграция. Представление данных об изделии и обмен этими данными. Часть 1092. Прикладной модуль. Математическое значение
Название английское:
Industrial automation systems and integration. Product data representation and exchange. Part 1092. Application module. Maths value
Даты и сроки
Дата издания:
01-28-19
Дата введения в действие:
07-01-10
Дата завершения срока действия:
-
Применение и описание
Область и условия применения:
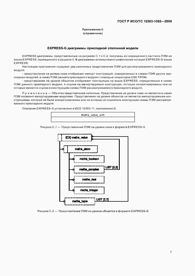
Настоящий стандарт определяет прикладной модуль «Математическое значение». В область применения настоящего стандарта входят: - математическое значение как действительное число; - математическое значение как целое число; - математическое значение как комплексное число; - математическое значение как булевское значение "истина" либо булевское значение "ложь"; - математическое значение как кортеж других математических величин. В область применения настоящего стандарта не входят: - массивы и матрицы; - связь между математическим пространством и пространством свойств, которое оно идентифицирует
Связи и замены
Заменяющий:
-
Описание стандарта
ГОСТ Р ИСО/ТС 10303-1092-2009 Системы автоматизации производства и их интеграция. Представление данных об изделии и обмен этими данными. Часть 1092. Прикладной модуль. Математическое значение
Страницы стандарта















