ГОСТ Р ИСО/ТС 10303-1151-2009 Системы автоматизации производства и их интеграция. Представление данных об изделии и обмен этими данными. Часть 1151. Прикладной модуль. Функциональные данные
ГОСТ Р ИСО/ТС
Скачать ГОСТ в PDF или DOC бесплатно
Основная информация
Обозначение:
ГОСТ Р ИСО/ТС 10303-1151-2009
Статус:
Действует
Тип:
ГОСТ Р ИСО/ТС
Название русское:
Системы автоматизации производства и их интеграция. Представление данных об изделии и обмен этими данными. Часть 1151. Прикладной модуль. Функциональные данные
Название английское:
Industrial automation systems and integration. Product data representation and exchange. Part 1151. Application module: Functional data
Даты и сроки
Дата издания:
07-08-20
Дата введения в действие:
07-01-10
Дата завершения срока действия:
-
Применение и описание
Область и условия применения:
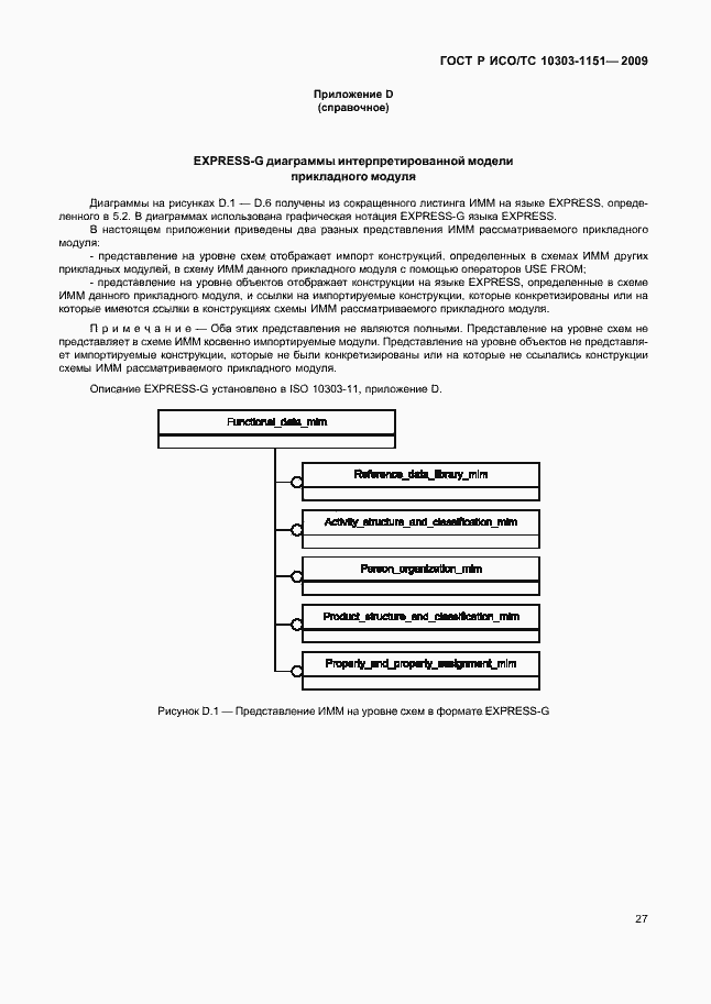
Настоящий стандарт определяет прикладной модуль «Функциональные данные». В область применения настоящего стандарта входит: - единичное изделие, библиотека классов изделий, структура и классификация изделий; - единичная деятельность, библиотека классов деятельностей, структура и классификация деятельностей, участие в деятельности изделий, документов, организаций или лиц; - свойства изделий и деятельностей. В область применения настоящего стандарта не входит: - форма и расположение изделий; - схематическое представление изделия, деятельностей, документов, структуры организации или деятельности
Связи и замены
Заменяющий:
-
Описание стандарта
ГОСТ Р ИСО/ТС 10303-1151-2009 Системы автоматизации производства и их интеграция. Представление данных об изделии и обмен этими данными. Часть 1151. Прикладной модуль. Функциональные данные
Страницы стандарта






































