ГОСТ Р МЭК 61512-4-2016 Управление серийным производством. Часть 4. Данные серийного производства
ГОСТ Р МЭК
Скачать ГОСТ в PDF или DOC бесплатно
Основная информация
Обозначение:
ГОСТ Р МЭК 61512-4-2016
Статус:
Действует
Тип:
ГОСТ Р МЭК
Название русское:
Управление серийным производством. Часть 4. Данные серийного производства
Название английское:
Batch control. Part 4. Batch production records
Даты и сроки
Дата издания:
06-16-20
Дата введения в действие:
06-01-17
Дата завершения срока действия:
-
Применение и описание
Область и условия применения:
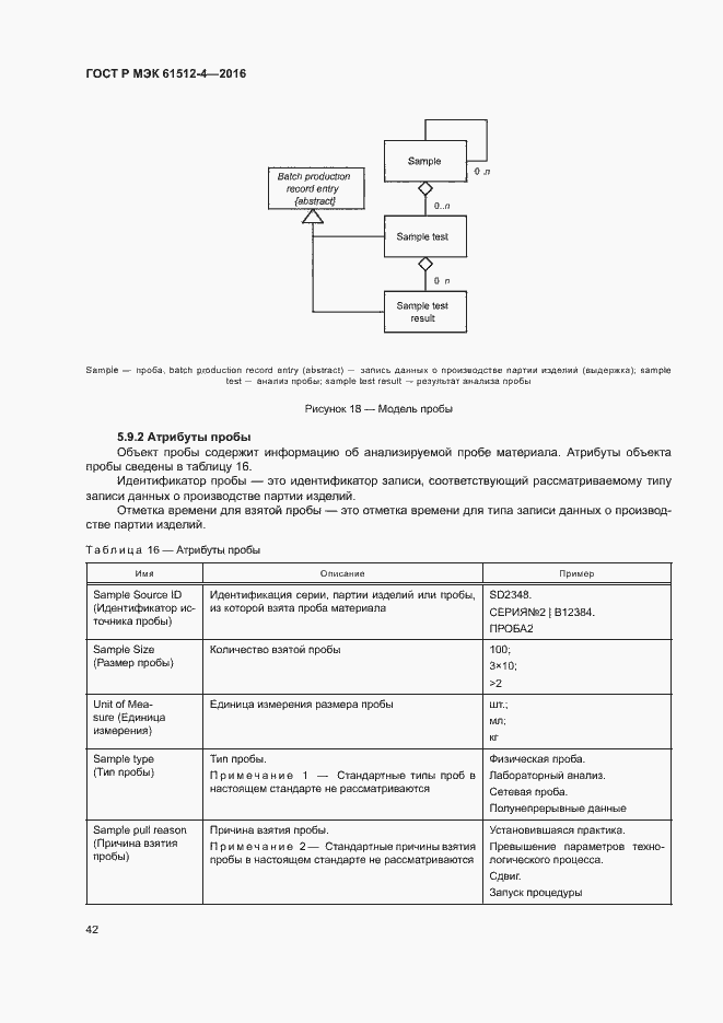
Настоящий стандарт определяет базовую модель данных серийного производства, содержащую информацию о производстве партии изделий и ее элементах. Настоящий стандарт предназначен для анализа технологических процессов, связанных с серийным производством
Связи и замены
Заменяющий:
-
Описание стандарта
ГОСТ Р МЭК 61512-4-2016 Управление серийным производством. Часть 4. Данные серийного производства
Страницы стандарта








































































