ГОСТ Р 57323-2016 Системы промышленной автоматизации и интеграция. Интеграция данных жизненного цикла перерабатывающих предприятий, включая нефтяные и газовые производственные предприятия. Часть 11. Методология упрощенного промышленного использования справочных данных
ГОСТ Р
Скачать ГОСТ в PDF или DOC бесплатно
Основная информация
Обозначение:
ГОСТ Р 57323-2016
Статус:
Действует
Тип:
ГОСТ Р
Название русское:
Системы промышленной автоматизации и интеграция. Интеграция данных жизненного цикла перерабатывающих предприятий, включая нефтяные и газовые производственные предприятия. Часть 11. Методология упрощенного промышленного использования справочных данных
Название английское:
Industrial automation systems and integration. Integration of life-cycle data for process plants including oil and gas production facilities. Part 11. Methodology for simplified industrial usage of reference data
Даты и сроки
Дата издания:
04-06-20
Дата введения в действие:
06-01-17
Дата завершения срока действия:
-
Применение и описание
Область и условия применения:
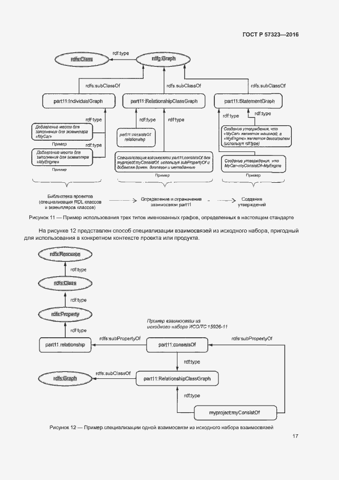
Настоящий стандарт обеспечивает возможность создания гибких моделей представления знаний о продукции, которыми можно обмениваться при построении цепочек поставок производственного предприятия путем комбинирования RDF-триплетов на основе именованных графов, словарей справочных данных и стандартизированного набора взаимосвязей
Связи и замены
Заменяющий:
-
Описание стандарта
ГОСТ Р 57323-2016 Системы промышленной автоматизации и интеграция. Интеграция данных жизненного цикла перерабатывающих предприятий, включая нефтяные и газовые производственные предприятия. Часть 11. Методология упрощенного промышленного использования справочных данных
Страницы стандарта








































































